Beräkna volymen av rotationskroppen som uppstår vid rotation


Jag förstår inte hur har de kommit fram till den volymsformeln? Ska vi inte roterar kring y-axeln för att det finnns "y+1=0"? Varför har de använt rotationsformeln kring x-axeln i facit?
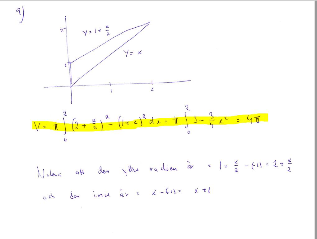
Och vad är (2+x/2) och (1+x)?? Är inte vårt fomeln (1+x/2) och x ??
Hur ser rotationskroppen ut? Rita!
Jag vet inte hur rotationskroppen kommer ser ut.
Borde de två regel blir:
Din bild stämmer inte med beskrivningen. Det borde vara större radie både på den inre och yttre cirkeln.
Varje skiva vinkelrätt mot x-axeln blir en cirkelring, eller hur? Hur stor är inre respektive yttre radien i ringen, med avseende på x?
Smaragdalena skrev:Din bild stämmer inte med beskrivningen. Det borde vara större radie både på den inre och yttre cirkeln.
Varje skiva vinkelrätt mot x-axeln blir en cirkelring, eller hur? Hur stor är inre respektive yttre radien i ringen, med avseende på x?
Jag hänger inte med.
Det står i uppgiften att triangeln med hörnen i origo, (0,1) och (2,2) (om jag ser rätt) skall rotera runt linjen y = -1, men du har låtit en triangel med hörnen (0,-1), origo och (2,1) rotera runt linjen y = -1. Det blir inte rätt volym!
Smaragdalena skrev:Det står i uppgiften att triangeln med hörnen i origo, (0,1) och (2,2) (om jag ser rätt) skall rotera runt linjen y = -1, men du har låtit en triangel med hörnen (0,-1), origo och (2,1) rotera runt linjen y = -1. Det blir inte rätt volym!
Jag ser.
Hur ska rotationskroppen ser ut då?
Försök att rita! Det blir ju en massa cirkulära skivor med cirkulära hål i (kroppen påminner ganska mycket om den du ritade).

Jag ritar speglingsbild y=1+x/2 och y=x kring linje y=-1.
Så här bildar rotationskroppen tänker jag.
Nu ser det bra ut. Hur stor är varje skiva (som en funktion av x)?
Ingen aning

