Beräkna volymen som uppstår när kurvan roterar kring y-axel
Hej!
Jag håller på med uppgift b). Nedan kan du se hur jag försökt lösa uppgiften. Jag förstår inte vad för fel jag gör, och skulle uppskatta om någon kunde berätta det för mig samt hjälpa mig lite på traven!
Tack på förhand!


Du tar för stort tankesteg I huvudet.
Visa steg för steg hur du bestämmer integranden.
Yngve skrev:Du tar för stort tankesteg I huvudet.
Visa steg för steg hur du bestämmer integranden.
Vart blir det ett för stort steg? Detta är varje steg jag använt mig av…
Jag menar steget från sambandet till integranden .
De steg jag saknar är
- Hur stor radie har en skiva?
- Hur stor area har en skiva?
Yngve skrev:Jag menar steget från sambandet till integranden .
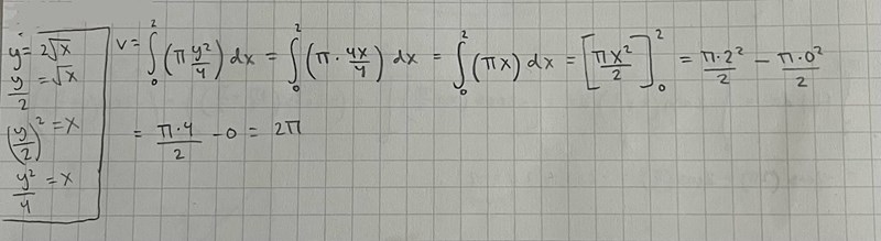
I formeln av rotation kring x-axeln så står det ju pi*y2, så jag skrev om x till y2/4 (som du kan se på bilden). Nu ser jag dock att jag glömt skriva y2/4 upphöjt till 2. Jag testade att göra det nu, och fick då att det blev pi*4x2. Jag beräknade denna integral men fick ändå fel svar, så verkar som att det inte är enbart där felet ligger….
De steg jag saknar är
- Hur stor radie har en skiva?
2 antar jag?
- Hur stor area har en skiva?
Hur tar jag reda på detta? Och varför behöver jag denna information för att lösa uppgiften? (En genuin fråga, nu lät det lite drygt, men absolut inte så jag vill framstå det som!!)
karisma skrev:
I formeln av rotation kring x-axeln så står det ju pi*y2, så jag skrev om x till y2/4 (som du kan se på bilden). Nu ser jag dock att jag glömt skriva y2/4 upphöjt till 2. Jag testade att göra det nu, och fick då att det blev pi*4x2. Jag beräknade denna integral men fick ändå fel svar, så verkar som att det inte är enbart där felet ligger….
Rotationen är kring y-axeln, så du kan inte använda formeln för rotation kring x-axeln. Och du ska inte heller integrera i x-led utan istället i y-led.
Hur stor radie har en skiva?
2 antar jag?
Nej, en skiva på höjden ovanför -axeln har radien , där ges av sambandet .
Radien är alltså
- Hur stor area har en skiva?
Hur tar jag reda på detta?
En cirkelskiva med radien har arean .
Enligt ovan så är en skivas radie , vilket medför att skivan har arean .
Och varför behöver jag denna information för att lösa uppgiften? (En genuin fråga, nu lät det lite drygt, men absolut inte så jag vill framstå det som!!)
Ingen fara.
Du behöver ta fram denna information för att kunna ta fram korrekt integrand (dvs det uttryck som ska integreras.
En skiva med tjocklek har volymen
Det är dessa bidrag till volymen du ska integrera från y = 0 till y = 2.
Volymen blir alltså
Yngve skrev:karisma skrev:I formeln av rotation kring x-axeln så står det ju pi*y2, så jag skrev om x till y2/4 (som du kan se på bilden). Nu ser jag dock att jag glömt skriva y2/4 upphöjt till 2. Jag testade att göra det nu, och fick då att det blev pi*4x2. Jag beräknade denna integral men fick ändå fel svar, så verkar som att det inte är enbart där felet ligger….
Rotationen är kring y-axeln, så du kan inte använda formeln för rotation kring x-axeln. Och du ska inte heller integrera i x-led utan istället i y-led.
Jag skrev fel, menade rotation kring x-axeln som är det jag försöker räkna ut.
Hur stor radie har en skiva?2 antar jag?
Nej, en skiva på höjden ovanför -axeln har radien , där ges av sambandet .
Radien är alltså
Jaha, jag visste inte att det var det uttrycket som var radien, men då vet jag! Visst är det bara i just detta fall radien är x = y2/4? Eftersom y = 2*(roten ur x).
- Hur stor area har en skiva?
Hur tar jag reda på detta?
En cirkelskiva med radien har arean .
Enligt ovan så är en skivas radie , vilket medför att skivan har arean .
y2/4 hade jag kommit på sen innan (som du ser i inlägget). Att y2/4 ska skrivas (y2/4)2 var det jag försökte skriva att jag kom på i #5. Jag råka dock skriva att den primitiva funktionen blev pi*4x2 V någon anledning…Men tänkte iaf rätt haha
Och varför behöver jag denna information för att lösa uppgiften? (En genuin fråga, nu lät det lite drygt, men absolut inte så jag vill framstå det som!!)
Ingen fara.
Du behöver ta fram denna information för att kunna ta fram korrekt integrand (dvs det uttryck som ska integreras.
En skiva med tjocklek har volymen
Det är dessa bidrag till volymen du ska integrera från y = 0 till y = 2.
Volymen blir alltså
Då förstår jag!