Beräkna x, y och z komponenterna i ett tredimensionellt plan
Hej, jag sitter med denna uppgift just nu:

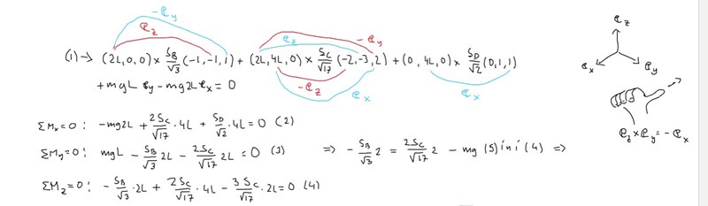
För att lösa detta beräknar jag alla x, y och z komponenterna för denna uppgift. Såhär valde jag att lösa den:
Grupperade alla komponenter för att jag skulle få detta ekvationssystem, härifrån kan man då fånga upp linkrafterna. Däremot, så ser jag att de gjort på ett helt annat sätt i lösningsförslaget:

Det jag undrar är om jag har gjort fel i min uträkning eller om detta bara är en alternativ lösningsmetod? Isåfall vart har jag gjort fel? Har räknat om Sc komponenterna ett antal gånger och får samma svar. Förstår inte hur Sc kan få två z komponenter?
Tack!
Du och facit har ju använt exakt samma metod (dvs momentjämvikt map A), möjligtvis har ni använt olika praktiska metoder för mekanisk beräkning av kryssprodukterna.
Du och facit har ju fått samma ekvationssystem och .
D4NIEL skrev:Du facit har ju använt exakt samma metod, möjligtvis har ni använt olika metoder för att beräkna kryssprodukterna.
Du och facit har ju fått samma ekvationssystem .
Okej bra! Tack så mycket, jag fick samma svar som det facit säger men man tänkte att det kanske var en tillfällighet vilket det inte var då.
Tack så mycket igen!