3
svar
78
visningar
Marcus N behöver inte mer hjälp
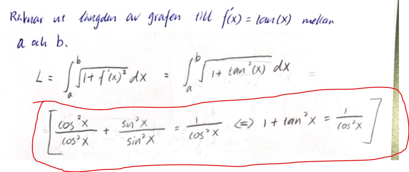
Beräknar längden av funktionskurvan

Kan ni förklarar varför ??
Skriv om täljaren med trig ettan
Jag antar att det är ett felmeddelande från ett digitalt verktyg. Vilket, och vad skrev du in?
Uppdatering: det var hos mig det stod [Math processing error], för att pluggakuten hade problem. Men när jag gör "citera" så ser jag din formel. Bug i pluggakuten.
Uppdatering 2: nu visas formeln korrekt för mig...
ItzErre skrev:Skriv om täljaren med trig ettan