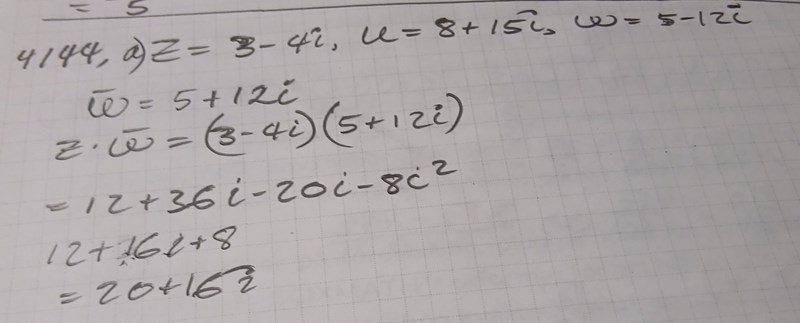
Matematik / Matte 4 / Komplexa tal 6 svar 32 visningar Arup 2185 Postad: Igår 15:02 Beräknimgar av komplexa tal Arup 2185 Postad: Igår 15:03 Jag gjorde så här, men fick dessvärre fel Bubo 8036 Postad: Igår 15:10 Rejäla slarvfel. Räkna igen. Arup 2185 Postad: Igår 15:11 Bubo skrev: Rejäla slarvfel. Räkna igen. Sånt händer Arup 2185 Postad: Igår 15:19 Bättre ? sictransit 3351 – Livehjälpare Postad: Igår 15:44 Japp! Bubo 8036 Postad: Igår 16:46 Snyggt! Användare skriver Svara Du behöver Logga in eller Bli medlem först! Avbryt Visa senaste svar