beräkning
hej
jag har ett exempel i boken men på grund av x värdet så förstår jag inte hur de tagit fram resultatet.
svaret finns redan jag behöver förklaraning bara.
det står att man ska dra roten ur båda leden.
men 49 är inte upphöjt till 2??
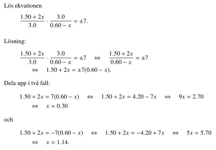
(1.50+2x/3.0) * (3.0/0.60-x)= +- 7
de skriver dra roten ur båda leden men det är bara 49 som blir 7 det jo inget på andra sidan??
va hände efter denna

jag förstår jag det 7^2=49
(1.50+2x/3.0) * (3.0/0.60-x)= +- 7
hur gör man här det finns två st X som ska lösas eller?
hur går man vidare nu??
flyttas 7??
flyttas något från vänstra ledet till högra ??
hur har man fått
x1= 0.30
x2= 1.14
och vill bara säga att jag har godkännd i mate 3 men jag kan inte lösa denna uppgift
stort tack.
ha en trevlig dag:)
