Beräkning av antalet böcker i ett bibliotek

Hur ska man tänka här?
Hej,
Vi har 120000 böcker,
Varje år vi köper 4000, efter n år köpte vi totalt n*4000 böcker .
Så efter n år har vi 120000+4000n böcker på biblioteket, rätt?
Då kassera vi 2.5% av total, det är 0.025*(120000+4000n) varje år.
Vi måste hitta n så att 0.025*(120000+4000n)=4000
Verkar det vettigt?
Nja, svaret ska bli 480 år
Ekaterina skrev:Hej,
Vi har 120000 böcker,
Varje år vi köper 4000, efter n år köpte vi totalt n*4000 böcker .
Så efter n år har vi 120000+4000n böcker på biblioteket, rätt?
Inte rätt, eftersom man har slängt ett antal böcker varje år.
Då kassera vi 2.5% av total, det är 0.025*(120000+4000n) varje år.
Vi måste hitta n så att 0.025*(120000+4000n)=4000
Verkar det vettigt?
Jag vet inte om det hjälper, men jag har kommit fram till en formel som beskriver antalet böcker som finns i biblioteket i början av det n:e året.
Inte rätt, eftersom man har slängt ett antal böcker varje år.
juste,
då kan man tänka på någon sorts geometrisk progression här, slängt böcker:
men potens verkar bli väldigt små,
verkar inte vara rätt
theg0d321 skrev:Jag vet inte om det hjälper, men jag har kommit fram till en formel som beskriver antalet böcker som finns i biblioteket i början av det n:e året.
Jag vet inte, men formeln verkar i alla fall korrekt.
Laguna skrev:theg0d321 skrev:Jag vet inte om det hjälper, men jag har kommit fram till en formel som beskriver antalet böcker som finns i biblioteket i början av det n:e året.
Jag vet inte, men formeln verkar i alla fall korrekt.
Ja, det verkar den vara. Sedan tänkte att vi kan skriva en rekursiv formel:
Detta är en formel som beskriver samma sak, fast på ett lite annorlunda sätt:
(antalet böcker som finns i biblioteket i början av det n:e året) = (antalet böcker som läggs till i början av det n:e året) + (antalet böcker som finns kvar efter att 2,5% av det föregående årets böcker har kasserats)
Om vi nu funderar på den andra frågan: "Efter ett visst antal år kommer lika många böcker köpas som det kasseras, hur många böcker finns i biblioteket vid denna tidpunkt?" Då tänkte jag så här:
Antalet böcker som köps är ju såklart 4000 stycken (det framgår i uppgiften).
Antalet böcker som kasseras = 2,5% av det föregående årets böcker, vilket kan uttryckas:
Dessa ska vara lika:
Alltså, i början av år (n-1) finns 160 000 böcker i biblioteket. Nu till en andra frågan: "Vid vilken tidpunkt finns det 160 000 böcker i biblioteket?". Det måste vara i början av år (n-1) som vi nyss kom fram till. Jag för substitutionen x = (n-1)
där x är den sökta tidpunkten
Problemet är att det här ekvationssystemet inte har någon lösning eftersom man till slut hamnar i den här situationen:
Och så långt har jag kommit, men har som sagt fastnar vid det här steget
Om jag tänker som du har jag samma ekvation med en liten skillnad som inte 40000 men 43000. Men det spelar ingen roll i det här fallet. Vad jag tycker är konstigt är att med siffror som 0.975x-1 är siffran i svaret för bra.
Om man avrundar antalet kasserade böcker till ett heltal så kommer man till slut till precis 4000 kasserade böcker, och efter det händer förstås inget mer.
Men jag får typ 300, inte 480, med mitt lilla program.
Om man betraktar slutet på första året så kasserar man 2,5*1200 = 3000 böcker och köper in 4000, så totalt har man 1000 böcker fler än för ett år sedan.
I slutskedet har man 160000 böcker, så det tar alltså mer än 40 år, då följande års ökningar blir mindre och mindre.
Tittar vi på sista året hade man 156000 efter gallringen men före nyinköpet, och 1,025*156000 = 159900 före gallringen, alltså 100 färre än året därefter.
Antalet år borde alltså vara mellan 40 och 400 år. Laguna kanske är på rätt väg?
Jan Ragnar skrev:
Du har n-1 term i en geometriska progression inte n.
Uppgiften är oklart formulerad.
Vad gör man först? Slänger 2.5% av de 120000 och köper sedan 4000 nya, eller köper 4000 nya och slänger 2.5% av de 124000?
Vad gör man när 2.5% inte är precis ett heltal? Man kan inte slänga 0.2 böcker. Skall man avrunda eller ta närmaste lägre heltal?
Det verkar inte så smart att slänga några av de nyanskaffade böckerna. Det borde vara 2,5% av de befintliga.
Parentesen (1,025n-1 + …+ 1,0250) innehåller n termer, inte n-1.
Jan Ragnar skrev:Parentesen (1,025n-1 + …+ 1,0250) innehåller n termer, inte n-1.
Förlåt,menar jag det blir (1,025n-2 -1 )/ (1.025-1), eller hur?
Men det spelar ingen roll här...
1/0.975 är inte 1.025.
jag kollade på maths stack exchange och såhär skrev de

men om man löser uppgiften på det här sättet och sätter upp ekvationen så hittar man ingen skärning, d.v.s. det finns inget värde på n som uppfyller ekvationen 0,025* B = 4000 där B är antalet böcker i slutet av det n:e året
theg0d321 skrev:[...] men om man löser uppgiften på det här sättet och sätter upp ekvationen så hittar man ingen skärning, d.v.s. det finns inget värde på n som uppfyller ekvationen 0,025* B = 4000 där B är antalet böcker i slutet av det n:e året
Så är det. Lägg också märke till att man slänger EXAKT 2.5% av böckerna. Det går ju inte (utom när antalet böcker är en multipel av 40).
Om man tänker sig 120000 liter vatten, och påfyllning av 4000 liter per år, kanske ekvationerna blir meningsfulla. Efter mycket lång tid kommer vattenmängden att vara mycket nära 160000 liter, men det kommer alltid att fattas någon milliliter eller mikroliter eller...
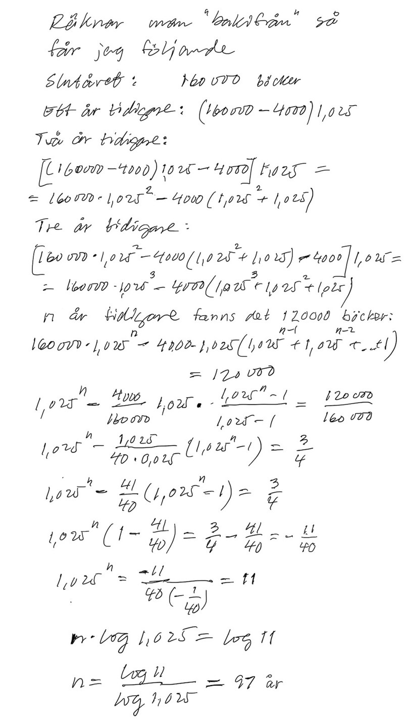
Därför tycker jag det är bättre att starta från 160000 och beräkna ned mot 120000, för då blir första steget 100 böcker färre än slutåret och för varje steg minskar det med ökande värden. Träffar man inte rätt på exakt 120000 kommer man i alla fall att passera den nivån..
Håller med Bubo. 1,025 är fel faktor. Ungefär som när man lägger på eller drar av moms gäller det hålla ordning på faktorerna. Sorry, om jag förvirrat en och annan.
Håller med Bubo och Jan Ragnar. När man kasserar böcker måste förändringsfaktorn vara mindre än 1.
