Beräkning av cirkel sektor, och markerad area


Jag tänkte att jag skulle få samma samband om jag först tog ut den procentuella faktorn för cirkelsektorns area vilket bör vara v/360
Sedan subtrahera det med triangelns area som jag får med areasatsen.
Tillsist får jag detta utryck:
Rätt svar skulle vara om jag översatte till grader pi = 180grader, vilket skulle ge detta
Hur har jag tänkt snett, man kan väl inte bara konvertera till grader i detta sammanhang.
Jag hade ju aldrig med radianer med i min uträkning från början ens.
jo det går bra, det viktiga är att man använder samma enhet för vinkeln i sina beräkningar.
Dvs konsekvent grader eller konsekvent radianer. Sen kan man konvertera på slutet.
Om man däremot ska derivera trigonometriska uttryck måste man alltid använda radianer.
Ture skrev:jo det går bra, det viktiga är att man använder samma enhet för vinkeln i sina beräkningar.
Dvs konsekvent grader eller konsekvent radianer. Sen kan man konvertera på slutet.
Om man däremot ska derivera trigonometriska uttryck måste man alltid använda radianer.
men v/360 då tänker jag grader, och jag får rätt om jag blandar grader med radianer i min uträkning

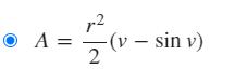
Den gäller om v är i radianer (om v = 2pi blir det en cirkels area)
Areasatsen som i detta fall ger A=r2sin(v)/2 gäller oberoende av om v är i radianer eller grader
Här nedan har du valt att i den röda ringen omvandla vinkeln till radianer från grader, varför då, varför inte bara räkna i radianer?

Ture skrev:
Den gäller om v är i radianer (om v = 2pi blir det en cirkels area)
Areasatsen som i detta fall ger A=r2sin(v)/2 gäller oberoende av om v är i radianer eller grader
Här nedan har du valt att i den röda ringen omvandla vinkeln till radianer från grader, varför då, varför inte bara räkna i radianer?
Jag fick ut formeln utan cirkelsektorns area formeln, jag tänkte i grader, det går väl bara omvandla saker som har varit inom sin eller cos tan.
Om du tittar på uttrycket för cirkelsegmentets area i uppgiften, så gäller denna endast om man anger vinkeln radianer - detta medför att vinkeln v ar angiven i radianer i uppgiften, så om man vill få fram rätt uttryck för cirkelsegmentets area måste man räkna i radianer. I Ma4 och framåt kan du utgå från att man mäter vinklar i radianer, om det inte står något annat i uppgiften.
Smaragdalena skrev:Om du tittar på uttrycket för cirkelsegmentets area i uppgiften, så gäller denna endast om man anger vinkeln radianer - detta medför att vinkeln v ar angiven i radianer i uppgiften, så om man vill få fram rätt uttryck för cirkelsegmentets area måste man räkna i radianer. I Ma4 och framåt kan du utgå från att man mäter vinklar i radianer, om det inte står något annat i uppgiften.
Tack det var träffsäkert svar, jag förtår exakt vad som gick snett nu :)

