Beräkning av determinant i samband med optimering av ytor med bivillkor
Hej!
Sitter och läser om hur man optimerar ytor. Som jag förstår identifieras extrempunkter genom att gradienten av både funktionsytan & bivillkoret i punkten är parallella. Det medföljer då att kryssprodukten av gradienterna = 0.
Så exemplet i fråga är:
Bestäm största värdet av f(x,y,z) = x + y^2+ z på enhetssfären x^2+y^2+z^2
Gradienten beräknas då:
Nu är min linj. alg. rätt rostig, men jag får denna vektorprodukt till
Boken får dock detta till:
Det ser ju då ut som koordinaterna har bytt plats & tecken på några ställen, och jag förstår inte riktigt varför?
Beräknade kryssprodukten med denna metod, med de uppe & df nere:

Tack i förväg!
Ja din vektorprodukt ser riktig ut men det är de x df i den ordningen. Hur boken har kommit fram till den vektorn kan jag inte se om dina gradienter är riktiga. Däremot känner jag mig osäker (också väldigt rostig) på om det räcker att de två gradienterna ska är parallella i en extrempunkt men det kan säkert någon annan kommentera.
CurtJ skrev:Ja din vektorprodukt ser riktig ut men det är de x df i den ordningen. Hur boken har kommit fram till den vektorn kan jag inte se om dina gradienter är riktiga. Däremot känner jag mig osäker (också väldigt rostig) på om det räcker att de två gradienterna ska är parallella i en extrempunkt men det kan säkert någon annan kommentera.
Ja ser ut som att gradienterna också ska vara = 0. Däremot så behövs tydligen inte det i denna uppgiften? Blir rätt förvirrad. Rent intuitivt känner ju jag att gradienten = 0 alltid är ett krav, vet inte riktigt hur de utesluter det i exemplet i bild 1?
Ignorera det med lambda, försöker använda metoden i bild 2.


Nej, gradienterna ska inte vara 0 när man optimerar under bivillkor. Jag tror du blandar ihop det med en helt annan situation, nämligen när man söker extrempunkter till en funktion och lokaliserar det man kallar för stationära punkter, dvs
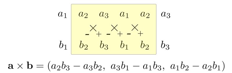
Boken/du verkar också ha blandat ihop vektorproduktens komponenter, det korrekta uttrycket är
Extrempunkterna kan man finna genom att studera i vilka punkter gradienterna är parallella, dvs under vilka förutsättningar kryssprodukten blir noll.
Gör man det inser man att
Slutligen ger bivillkoret
Största värdet inträffar i punkterna
Notera nu att
Knugenshögra skrev:Hej!
Sitter och läser om hur man optimerar ytor. Som jag förstår identifieras extrempunkter genom att gradienten av både funktionsytan & bivillkoret i punkten är parallella. Det medföljer då att kryssprodukten av gradienterna = 0.
Så exemplet i fråga är:
Bestäm största värdet av f(x,y,z) = x + y^2+ z på enhetssfären x^2+y^2+z^2
...
Här skulle jag ha bytt till polära koordinater med y som "avvikande" och räknat vidare därifrån, tagit fram y som en funktion av vinkeln v och fått f(v) som jag kunde ha deriverat.
Finns det något som gör att min metod inte skulle ha fungerat? (Det var väldigt länge sedan jag läste det här, så jag kan ha glömt ett och annat.)
D4NIEL skrev:Nej, gradienterna ska inte vara 0 när man optimerar under bivillkor. Jag tror du blandar ihop det med en helt annan situation, nämligen när man söker extrempunkter till en funktion och lokaliserar det man kallar för stationära punkter, dvs
Boken/du verkar också ha blandat ihop vektorproduktens komponenter, det korrekta uttrycket är
Extrempunkterna kan man finna genom att studera i vilka punkter gradienterna är parallella, dvs under vilka förutsättningar kryssprodukten blir noll.
Gör man det inser man att
Slutligen ger bivillkoret
Största värdet inträffar i punkterna
Notera nu att
Ja jag är rätt förvirrad, förstår inte riktigt detta :s En fråga bara:
Vad betyder ?
Knugenshögra skrev:Ja jag är rätt förvirrad, förstår inte riktigt detta :s En fråga bara:
Vad betyder ?
Det är svårt att veta utan kontext, men jag gissar att du menar riktningsderivatan, dvs förändringen av funktionen i riktningen . Om längden av vektorn är ett, dvs har vi
Det betyder att skalärprodukten av gradienten och riktningsvektorn.
Om riktningsvektorn pekar utmed tangenten till en nivåkurva så måste
Andra sätt att skriva riktningsderivatan är
D4NIEL skrev:Knugenshögra skrev:Ja jag är rätt förvirrad, förstår inte riktigt detta :s En fråga bara:
Vad betyder ?
Det är svårt att veta utan kontext, men jag gissar att du menar riktningsderivatan, dvs förändringen av funktionen i riktningen . Om längden av vektorn är ett, dvs har vi
Det betyder att skalärprodukten av gradienten och riktningsvektorn.
Om riktningsvektorn pekar utmed tangenten till en nivåkurva så måste
Andra sätt att skriva riktningsderivatan är
Ja jag har försökt bläddra igenom boken för att se vad de menar med det uttrycket men står inte riktigt någonstans. Skulle stå , inte dg!
Har funderat på detta lite nu och tror jag helt missförstått hur gradienten fungerar. Jag tänkte att gradienten på något vis pekade längst med ytan för något f(x,y) , snarare än platt i xy-riktningen vi ska röra oss i för att öka fortast haha. Fattade aldrig riktigt varför gradienten är vinkelrät mot nivåkurvor förrän nu. Tror också jag blandade ihop lite 2D & 3D fall. Är dock inte riktigt helt ombord än.

Är inte alltid vinkelrät mot tangentplanet till ytan eftersom ytan är en nivåyta?
Det stämmer. Tangentplanet till en nivåyta i en given punkt är parallellt med ytan i punkten och gradienten är en normal till tangentplanet eftersom den är normal till nivåytan.
Notera dock att i det avsnitt du markerat med rött ovan pratar man om en kurva i rummet och man funderar över vilket värde riktningsderivatan (av bivillkoren) utmed kurvan måste anta när antar ett extremvärde utmed kurvan.
D4NIEL skrev:Det stämmer. Tangentplanet till en nivåyta i en given punkt är parallellt med ytan i punkten och gradienten är en normal till tangentplanet eftersom den är normal till nivåytan.
Notera dock att i det avsnitt du markerat med rött ovan pratar man om en kurva i rummet och man funderar över vilket värde riktningsderivatan (av bivillkoren) utmed kurvan måste anta när antar ett extremvärde utmed kurvan.
Aha, så det intressanta är mer när är vinkelrät mot kurvan i punkten. Var jag går vilse nu är dock varför måste vara vinkelrät mot tangentplanet ( och därmed nivåytan till f) i en extrempunkt för f. Definierar inte
riktningen med snabbast ökning i funktionsvärde för endast g? Varför spelar den riktningen roll när vi söker extrempunkter till f? Finns där någonting som gör det lättare att inse eller är det bara att tänka på det tills det går in?
Låt oss studera det konkreta exempel 7.6 som finns i din bok
Villkoret är en nivåyta som borde vara bekant, det är en sfär med radien 2. Så här:
Det andra bivillkoret, är en yta som ser ut så här:

När båda villkoren gäller samtidigt pratar man om de punkter som ligger på BÅDA nivåytorna samtidig. Då uppstår skärningslinjerna mellan de båda ytorna, så här

De två skärningslinjerna bildar slutna kurvor i . Se den röda- och blå kurvan.
En parameterframställning för den röda kurvan är
Nu undrar man alltså om funktionen antar ett extremum på kurvan och för vilket , eller i vilken punkt , det kan tänkas inträffa. Derivatan i den punkten på kurvan bör vara noll, dvs
Vektorerna och ska alltså vara vinkelräta mot varandra i punkten . Med andra ord är vinkelrät mot kurvans tangentvektor. Men vektorerna och har samma egenskap eftersom den röda kurvan ligger i nivåytorna till respektive .
Alltså måste och samt vara linjärt beroende. De ligger i samma plan, normalplanet till kurvan.
D4NIEL skrev:Låt oss studera det konkreta exempel 7.6 som finns i din bok
Villkoret är en nivåyta som borde vara bekant, det är en sfär med radien 2. Så här:
Det andra bivillkoret, är en yta som ser ut så här:
När båda villkoren gäller samtidigt pratar man om de punkter som ligger på BÅDA nivåytorna samtidig. Då uppstår skärningslinjerna mellan de båda ytorna, så här
De två skärningslinjerna bildar slutna kurvor i . Se den röda- och blå kurvan.
En parameterframställning för den röda kurvan är
Nu undrar man alltså om funktionen antar ett extremum på kurvan och för vilket , eller i vilken punkt , det kan tänkas inträffa. Derivatan i den punkten på kurvan bör vara noll, dvs
Vektorerna och ska alltså vara vinkelräta mot varandra i punkten . Med andra ord är vinkelrät mot kurvans tangentvektor. Men vektorerna och har samma egenskap eftersom den röda kurvan ligger i nivåytorna till respektive .
Alltså måste och samt vara linjärt beroende. De ligger i samma plan, normalplanet till kurvan.
Ahhh, blev mycket enklare att förstå när du parametriserade kurvan så. Helt sjukt vad det hjälper att se figurerna framför sig också. Enklare att hålla reda på vad som menas med tangentplanet och normalplanet. Riktigt bra förklaring! Tusen tack för hjälpen & tålamodet, skickar eviga virtuella bugningar din väg!!