Beräkning av dubbelintegral
Jag ska beräkna dubbelintegralen
där D =
Hur ska jag börja?
Här kan du i princip direkt sätta in gränserna och börja räkna ut integralen. Om du känner dig osäker på det rekommenderar jag att du läser hur man gör i din kursbok och kanske kollar på ett löst exempel.
Börja (som vanligt!) med att rita, i det här fallet dels rita upp området D, dels en enkel skiss över hur själva funktionen ser ut. Lägg upp bilden här.
Jag ska ju beräkna dubbelintegralen för
där
Att y alltid ska vara åtminstone innebär att området ligger ovanför kurvan
Kurvan ser ut så här:

När jag skriver ner mina integrationsgränser måste jag tänka på att x finns med i beskrivningen av y, och det kommer att bestämma i vilken ordning som jag ska integrera i.
Jag antar att jag ska integrera x först eftersom x har integrationsgränser som inte innehåller den andra variabeln. Jag integrerar därför x och håller y konstant. Är det riktigt tänkt?
Jag vill gärna rita området, men måste nog läsa på lite mer i kursboken om flervariebelsanlys innan jag ritar.
Integrationsgränserna för x är ju undre gräns och övre gräns 2, så det är inte så problematiskt för mig.
Hur ser området D ut? Rita och lägg in bilden här!
Hej Smaragdalena,
Det blir nästa sak som jag ska göra, rita och lägga in bilden här. Jag får se om jag hinner nu (ska snart på jobb) men det blir som sagt det som jag gör härnäst. Förstår att det är nödvändigt. Har hittat rätt i kurslitteraturen nu åtminstone :-)
Jag har försökt att läsa mig till hur jag ska göra, men förstår inte riktigt.
Är området är en rektangel i xy-planet med sidorna parallella med axlarna?
Ska jag även ta reda på hur funktionen ser ut?
Kanelbullen skrev:Jag har försökt att läsa mig till hur jag ska göra, men förstår inte riktigt.
Är området är en rektangel i xy-planet med sidorna parallella med axlarna?
Ska jag även ta reda på hur funktionen ser ut?
Inte helt en rektangel. Tre raka sidor, men 1/2x < y är den fjärde begränsningskurvan.
Du kan inte kalla funktionen för y när y ingår som oberoende variabel. Ta z i stället.
Edit: jag borde svara på frågan också. Du behöver inte ta reda på hur z ser ut. Det kan vara bra att göra det, men det är lite svårt också.
Är området är en rektangel i xy-planet med sidorna parallella med axlarna?
Nej. Varför har du inte ritat - då skulle du ha sett hur området ser ut. Det står i uppgiften att så i k-riktningen begränsas området av två lodräta linjer x=0,25 respektive x=2 och att , alltså en rät linje men också en kurva som är en omvänd proportionalitet.
WolframAlpha ritar upp:
Så hade jag ritat, nu vågade jag visa bilden också :-)
Snygg bild! Vilken integral lägger du ytterst, i x-led eller y-led?
Jag utför integration avseende dx och håller y konstant, vilket innebär att y är yttre integral och x är inre.
Hoppas jag har tänkt rätt nu!
Kanelbullen skrev:Jag utför integration avseende dx och håller y konstant, vilket innebär att y är yttre integral och x är inre.
Hoppas jag har tänkt rätt nu!
Vänd på det. Integrera först m.a.p. och sist m.a.p.
.
Tack, då gör jag så istället.
Varför är det bäst att börja med att integrera med avseende på y?
På vilket sätt blir det enklare beräkningar?
Beror det på att dy har ett x i sin nedre integrationsgräns? Det har ni ju redan sagt här, men det skulle vara bra att veta varför det är så viktigt att börja med y. Hur skulle det annars bli, om jag började med x?
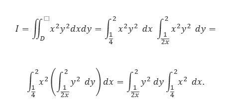
I det här fallet är integranden en produkt av en funktion som bara beror på x och en funktion som bara beror på y: . Det visar sig då att dubbelintegralen själv faktoriserar sig som en produkt av två enkelintegraler.

Jag integrerade med avseende på y och fick integralen eller, om jag faktoriserar,
Jag ska visar mina beräkningar här:
Ser det rimligt ut?
I så fall ska jag nu integrera m.a.p. x.
Prova. Det torde visa sig att det inte blir bra.
Ska det vara med ett x i uttrycket för integralen?
Jag har väl gjort något fel?
x har ju kommit med pga integrationsgränsen för y, men det tillhör ju en definierad kurva som avgränsar området på riktigt. Det är inget okänt med det, så att säga.
Precis. Det blev inte bra.
Kan jag få någon ledtråd månntro?
Bör man göra ett variabelbyte?
Eller något annat som jag inte kan lista ut...🤔
Kanelbullen skrev:Kan jag få någon ledtråd månntro?
Bör man göra ett variabelbyte?
Eller något annat som jag inte kan lista ut...🤔
Finns det någon anledning till att du inte gör som Trinity2 rekommenderade redan för 2 dagar sedan:
Vänd på det. Integrera först m.a.p. y och sist m.a.p. x
Hej på er!
Tack för ert tålamod med en knasboll som jag.
Jag trodde att det var det som jag hade gjort, att jag gjort i rätt ordning.
Anledningen till att jag inte gjort som Trinity2 skrev måste väl vara att jag missförstått instruktionerna.
Min mening var inte att testa Lagunas förslag: att integrera i fel ordning och få kvitto på att det inte blev så bra.
Men nu har jag gjort det i alla fall, så då vet jag varför inte det funkade.
Men om jag använder min metod ovan så spelar de ju ingen roll i vilken ordning jag gör. Det blir samma svar ändå. Det måste vara något jag gjort fel i själva metoden. Har jag ens använt rätt sats? Eller kan jag ha misstolkat hur jag använder satsen, där två enkelintegraler beräknas var för sig och sedan multipliceras?
Om du integrerar på först blir (enkel)integralen, den "inre" integralen, ett uttryck i . Den "yttre" integralen (m.a.p. ) blir då en "vanlig" (enkel) integral.
.
Den "yttre" integralen blir nu
.
"Eller kan jag ha misstolkat hur jag använder satsen, där två enkelintegraler beräknas var för sig och sedan multipliceras?"
Ja, det är ej allmänt sant. Det beror på funktionen.
Tack så mycket Trinity2.
Så nu ska dessa båda integraler multipliceras med varandra som avslutning?

Kanelbullen skrev:[...]
Så nu ska dessa båda integraler multipliceras med varandra som avslutning?
[...]
Jag förstår inte riktigt vad du menar med att "multiplicera integralerna". Om du menar att multiplicera med resultatet av den inre integralen så är det rätt.
Den inre integralen ger ett uttryck som beror av x () enligt senaste svaret från Trinity2.
Det uttrycket multiplicerat med blir sedan din integrand i den yttre integralen.
Om det hade varit en rektangel så hade det gått bra att dela upp integralen i två faktorer, en med y och en med x.
Tack alla!
Nu borde jag kunna lösa uppgiften färdigt på egen hand.
Yngve skrev:
"Den inre integralen ger ett uttryck som beror av x () enligt senaste svaret från Trinity2.
Det uttrycket multiplicerat med blir sedan din integrand i den yttre integralen."
Hej Yngve!
Ursäkta att jag frågar igen, men ska min integrand i den yttre integralen integreras för att dubbelintegralen ska bli fullständigt beräknad?
Kanelbullen skrev:
Hej Yngve!
Ursäkta att jag frågar igen, men ska min integrand i den yttre integralen integreras för att dubbelintegralen ska bli fullständigt beräknad?
Du behöver inte be om ursäkt. Vi gillar frågor, annars skulle vi inte hänga här 👍
Ja, du ska beräkna värdet av den yttre integralen.
Visa gärna dina försök, antingen med hjälp av formeleditorn eller skriv på papper och ladda upp en bild.
Tack Yngve, bra att veta att det är ok att jag är frågvis. Jag försöker verkligen lära mig.
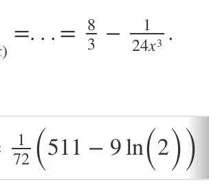
Jag slog på grafräknaren och fick

Jag håller också fortfarande på att visa de olika stegen fram till .
Jag känner igen 511, eftersom om man integrerade med avseende på x (yttre integralen) och lämnade y konstant så fick man
Skulle gärna vilja veta mer hur man kommer fram till integranden
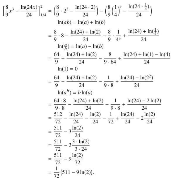
Här är mitt försök:

Nästan rätt.
istället för .
Vet inte om jag gjort riktigt rätt när det gäller ln och hur jag förkortat de uttrycken.
Sedan är det sista steget, där jag bryter ut som jag inte riktigt är med på.
Skulle gärna vilja få hjälp att förstå hela vägen till resultatet för den yttre integralen.
Säg till var jag gjort fel och hur jag ska fortsätta, tack :-)

Och så undrar jag förstås om det allra sista jag ska göra för att beräkna dubbelintegralen i uppgiften är att integrera värdet för den yttre integralen, alltså se den som en integrand som ska integreras på nytt?
Vilka gränser ska jag då använda? Var det rätt med gränserna för x som i mitt förslag nedan?
I så fall duger det förstås inte att slå på räknaren, utan jag får visa steg för steg hur jag beräknat integralen.
Nu har jag fått svar på min fråga av Trinity2 i ett annat inlägg, om hur jag kommer fram till
TACK!

Jag tror att jag nu har beräknat värdet för dubbelintegralen och att det exakta värdet är och att om man vill skriva i decimalform så har vi det approximativa värdet 7,01.
I alla fall om det hade varit en rektangulär yta, så hade vi varit klara nu.
Jag hoppas att så även är fallet i denna uppgift :-)


Här är två bilder som illustrerar integreringen. Så länge man håller sig till x och y och inte byter ut dem med någon parametrisering (som t.ex. polära koordinater) så finns det bara de här två sätten att integera: 1) man delar upp regionen i horisontella strimlor med bredd dy och läge y och integrerar f(x,y) en strimla i taget över alla relevanta x-värden. Då får man en funktion g(y), som man sedan integrerar över alla relevanta y-värden.
Eller 2) man delar upp regionen i vertikala strimlor med bredd dx och läge x och integrerar f(x,y) en strimla i taget över alla relevanta y-värden. Då får man en funktion h(x), som man sedan integrerar över alla relevanta x-värden.
Ibland är det ena lättare än det andra, t.ex. om regionens begränsning är given som en funktion y(x) och inversen x(y) är svår att få fram. Ibland är båda kanske lika lätta, t.ex. om regionen är en rektangel (men det är möjligt att g(y) och h(x) inte är lika lätta att hitta primitiva funktionen till). Ännu lättare i fallet rektangel blir det om man kan faktorisera f(x,y) i f1(x)*g1(y), för då blir det två helt oberoende integraler som ska multipliceras (fast det är inte mycket svårare att ha kvar t.ex. f1(x) som konstant faktor om man integrerar över y först, det blir bara lite renare på papperet om man separerar dem).
Tack Laguna!
Väldigt bra förklarat.