1
svar
58
visningar
aliceakesson behöver inte mer hjälp
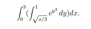
Beräkning av dubbelintegral

Skulle någon kunna förklara hur man går tillväga för att beräkna detta? Jag har försökt på ett flertal olika sätt, men kommer aldrig någon vart. Svaret ska bli antagligen, men lyckas inte komma dit.
På bilden nedan syns hur långt jag kom. Enligt facit ska man kunna byta integrationsordning, vilket ska göra det enklare, men då kan man väl inte använda sig av x i y-integralen senare? Hur ska man då göra?
Börja med att rita upp området så kanske det blir lättare att förstå alternativa integrationsgränser.
Titta på din bild, mellan vilka värden ska x gå om y ska gå från 0 till 1 för att du ska täcka in samma område?