Beräkning av en integral
Hej på er!
I denna fråga ska man beräkna integralen, jag har försökt lösa integralen genom att använda metoden variabelsubstitution. Jag tänker att man sätter u=x^2 + 16, du=2x dx som leder till att integralen blir . När jag löser integralen får jag , men lösningen verkar inte stämma.
Tack på förhand
Hej och välko men till Pluggakuten!
Om så är och du kan då alltså inte bara byta ut mot rakt av.
Ska integralen se ut såhär då: ?
Nej du saknar fortfarande faktorn x.
Eftersom så blir
Om vi nu har att så är ju och integranden blir då , vilket inte heller är så lätt att integrera.
Pröva istället någon substitution med tangens.
Hur skulle man beräkna med en tangens istället ?
x = tan(u)

Med detta variabelbyte blir
.
Kan du fortsätta själv?
Jag förstår inte riktigt hur man kommer fram till variabelbytet, skulle du kunna förklara det steget igen?
Tack på förhand
Laguna skrev:x = tan(u)
Jag glömde att det stod 16 under roten, så det blir x = 4tan(u) i stället, men dr_lunds svar är bättre.
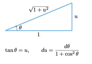
Integraler som innehåller uttryck av typen behandlas oftast med ett variabelbyte enligt min senaste replik.
Notera hjälptriangeln: , med lite trigonometri i rätvinkliga trianglar.
EDIT Fel i uttrycket för du: Ska vara . Ursäkta.
Tack för hjälpen,