4 svar
139 visningar
student_001 behöver inte mer hjälp
student_001 27 – Fd. Medlem
Postad: 12 sep 2022 19:09

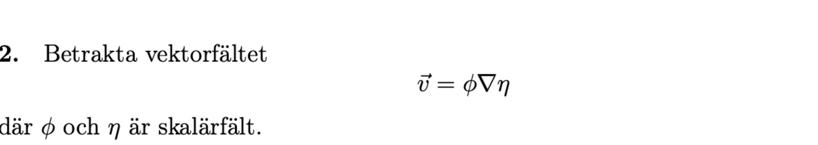
Beräkning av flödesintegral

Söker hjälp med denna fråga. Funderar på om jag kan lösa den genom att använda divergenssatsen på "hela pyramiden" , d.v.s ytorna A,B,C & D. Där D= den "sista ytan som krävs för att utgöra en pyramid".Får då div (v)= 0 nämligen => totala flödet=0. Sedan hade man kunnat ta detta minus D för att få svaret. Får då själv flödet i D till (-(e-1)^2r^2)/(23). Hade gärna fått hjälp med att bekräfta denna metod, samt om mitt svar tycks stämma. 

haraldfreij 1322
Postad: 13 sep 2022 11:31 Redigerad: 13 sep 2022 11:31

Lösningsmetoden borde funka, även om jag inte direkt ser varför flödet genom D är lättare att beräkna än de genom A, B och C. Men det känns som en del av uppgiften saknas. Vad är relationen mellan vv och ϕ,η\phi, \eta?

student_001 27 – Fd. Medlem
Postad: 13 sep 2022 14:04

Sorry glömde denna del. 

student_001 27 – Fd. Medlem
Postad: 13 sep 2022 14:36

Blev väldigt osäker dock på hur man kan beräkna flödet ur D.

D4NIEL 3495
Postad: 13 sep 2022 16:20

Det blir en ganska krånglig integral, är väl enklare att bara beräkna flödet genom de tre triangelsidorna.

Svara
Close