Beräkning av formel

Hej på en uppgift av läraren ska det här vara svaret på variansen för en uppgift. Men jag vet inte i vilket steg jag har gjort fel, jag började med att multiplicera in 17.6 i 1/5 och får då 17.6/ 5 och svaret på det blir 3.52 sedan tar jag 99.38 subtraherat med 3.52, då får jag 95.86. Sedan tar jag 95.86/4 eftersom det är 1/5-1 utanför parentesen och får 23,965. Vad har jag gjort fel?
Vad är det du skall beräkna variansen av? Hur såg uppgiften ut från början?
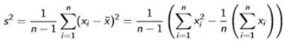
Man ska beräkna variansen på observationsvärdena med hjälp av den här formeln

Observationsvärdena är


Allting är löst och jag förstår inte hur svaret blir 9.357.
Formeln var fel, skulle vara upphöjt i kvadrat på sista termen
Först behöver du beräkna medelvärdet - det är 3,52. Sedan skall du beräkna differensen mellan varje observation och medelvärdet och kvadrera detta. Därefter skall du summera alla kvadraterna och dividera summan med n-1. Du verkar ha adderat ihop alla kvadrater och sedan subtraherat medelvärdet - det blir inte rätt.