2
svar
94
visningar
Beräkning av integral, olika svar
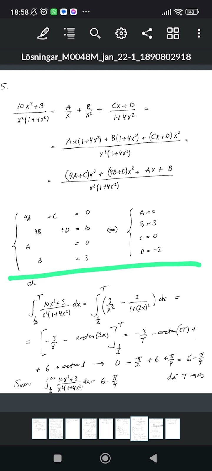
Hej! Jag försöker lösa denna fråga från en gammal tenta och jag får samma svar fram till och med det gröna strecket men det är när integralen ska räknas ut som vi får olika svar. I facit står det att den primitiva funktionen ska vara -3/x - arctan(2x), men borde det inte vara -3/x - 2arctan(2x)?
Så här ser facit ut:

Nej. Tänk på inre derivatan när du deriverar arctan(2x)
Ja justeeee! Tack!:) Glömmer alltid den🙈