Beräkning av Moment.
Tjena Pluggakuten!
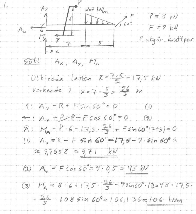
Har en fråga angående momenten på denna övningsuppgift och då tyder jag på A:et nedanför . Det jag inte riktigt förstår är varför han beräknar ett moment vid P och inte det andra P:et. Alltså när han beräknar summeringen vid Fx tar han ju hänsyn till både P åt vänster och höger, men inte när det kommer till momentet. Kan det vara för att det ena P:et riktar sig åt "väggen"?
Tacksam för alla svar!

Han tar hänsyn till det men de bildar ett kraftpar:
https://en.m.wikipedia.org/wiki/Couple_(mechanics)
Denna video är bra:
Denna är också bra:
Jag har svarat i ett par trådar om det här på PA. Läs detta inlägg till exempel:
Ebola skrev:Han tar hänsyn till det men de bildar ett kraftpar:
https://en.m.wikipedia.org/wiki/Couple_(mechanics)
Denna video är bra:
Denna är också bra:
Jag har svarat i ett par trådar om det här på PA. Läs detta inlägg till exempel:
Jahaaa, alright! Tack så jätte mycket! Förstår inte hur ja missade detta.