Beräkning av två komplexa tal.
Hej
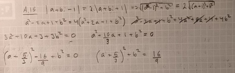
Jag försöker lösa en uppgift med absolutbelopp och komplexa tal men jag förstår inte riktigt vad det är jag har beräknat och hur jag använder mig av det, skulle någon kunna förklara det för mig 😊? Uppgiften är denna, |z - 1| = 2| z + 1 |
Jag har utfört beräkningen såhär. 
svaret i boken är a = med en radie på men jag förstår liksom inte varför man får fram radien på detta sättet
Har inte fördjupat mig i uppgiften men när du kvadrerar bi så får du Minus b^2.
jo precis men man tar inte med (i) i beräkningen när man räknar med absolutbeloppen av komplexa tal :)
Jag skrev en kommentar tidigare men ser den inte nu. Glömt posta??
Jag har inte trängt in i uppgiften, men när du kvadrerar bi får du minus b^2.
Nej, såklart, vad dum jag är!
Det är alltså avståndet från talet -5/3 + 0i du har räknat fram, dvs avståndet i det komplexa talplanet från -5/3
Ingen annan har svarat så jag kan ju fundera litet fast jag inte ser hur man ska komma vidare. Take it or leave it.
Man ser av din sista ekvation att OM a = –5/3 SÅ b = ± 4/3 och i så fall tycker jag radien borde vara (roten ur 41)/3. Känns som att något inte stämmer.
Sedan, ursprungsekv är ju en ekv med två okända. Det borde normalt inte bli enstaka punkter i svaret utan en kurva. Det finns inget finstilt i uppgiften som du missat?
Nu ser jag att Bubo skrivit ett svar, så jag passar.
Mogens skrev:Sedan, ursprungsekv är ju en ekv med två okända. Det borde normalt inte bli enstaka punkter i svaret utan en kurva.
"Alla punkter med ett visst avstånd" bildar en cirkel.
Bubo skrev:Mogens skrev:Sedan, ursprungsekv är ju en ekv med två okända. Det borde normalt inte bli enstaka punkter i svaret utan en kurva.
"Alla punkter med ett visst avstånd" bildar en cirkel.
Aspelut. Men i det citerade facit var realdelen a = –5/3 och radie givna. Det är realdelen för cirkelns medelpunkt (och två punkter på cirkeln).
Det som lurar mig är att cirkelns ekvation brukar ges på formen (x-a)^2+(y-b)^2 = r^2, dvs a och b är konstanter. Men här är a och b variablerna. Ifall vi kallat z för x+iy kanske jag hade sett att problemet i princip var färdigräknat.