Beräkning med buffertformeln.
Hej.
Jag försöker bereda en buffertlösning, se bild. Men jag ser inte vad jag gör för fel, utan får för orimliga svar.

wil1 skrev:Hej.
Jag försöker bereda en buffertlösning, se bild. Men jag ser inte vad jag gör för fel, utan får för orimliga svar.
Jag förstår inte vad det är du gör.
Enligt Wikipedia är pKa för ättiksyra lika med 4,7, så buffertlösningen skall ha pH = pKa, d v s koncentrationerna av ättiksyra och acetatjoner skall vara lika. Om man skall ha en liter lösning skall man alltså ha 0,500 mol ättiksyra och 0,500 mol natriumacetat.
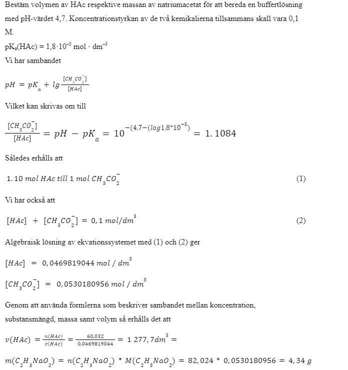
Tack för svaret, jag kommer fram till det här, se bifogad bild.

Den totala volymen ska vara 100 ml också, innebär detta att volymen på HAc är 100ml?
Den totala volymen ska vara 100 ml också, innebär detta att volymen på HAc är 100ml?
Nej. Väg upp 0,005 mol HAc och 0,005 mol NaAc, häll båda ämnena i en mätkolv med volymen 100 ml och späd till märket.
