Beräkning som inte följer efter boken. Kommentar

Jag tycker att du ska gå igenom din lösning steg för steg och skriva ut vilken regel du använder dig av. Se till så att du verkligen kan se att du använder den regeln. När du känner att du verkligen kan se att du följer reglerna korrekt så posta igen en lösning där du skriver ut steg för steg.
Detta är helt enkelt för att du själv ska känna att du gör rätt, inte bara att det är vi som säger om det är rätt eller fel. Hur ska du kunna få självförtroende när det kommer till matematiken om du bara litar på att vi skulle säga att det är korrekt? Detta kommer vara ovant för dig i början, men jag tror att du kommer tjäna på det i längden.
Hej!
Det ser bra ut, med kommentaren att så svaret blir
Notera även att eftersom så är något mindre än
Hej!
Kontrollera att ditt svar stämmer genom att visa att är samma tal som talet
Boken beskriver på annat sätt hur man gör det här.
Hej Päivi.
Jag tycker fortfarande att du ska skriva ut mellanstegen (fetmarkerade här nedan):
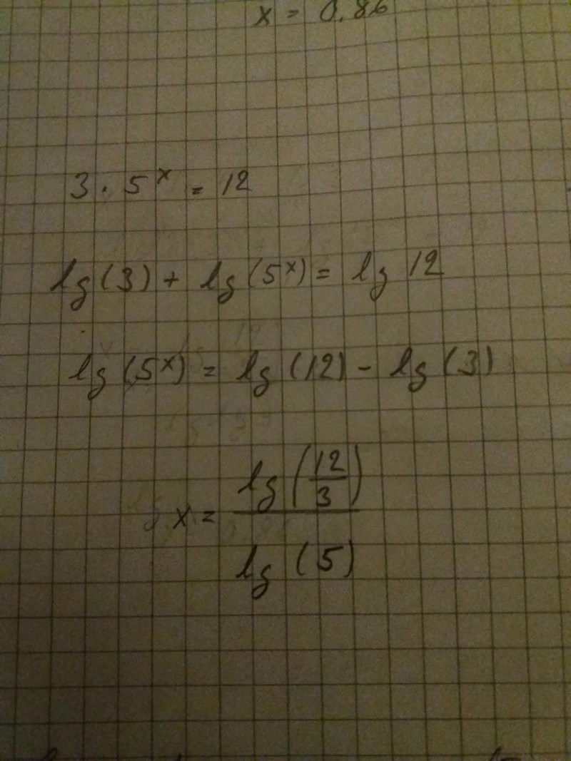
3*5^x = 12
lg(3*5^x) = lg(12)
lg(3) + lg(5^x) = lg(12)
lg(5^x) = lg(12) - lg(3)
x*lg(5) = lg(12/3)
x = lg(12/3)/lg(5)
x = lg(4)/lg(5)
----------
Hur beräknas detta i boken? Dividerar de först med 3? Det skulle jag ha gjort.
Päivi skrev :Boken beskriver på annat sätt hur man gör det här.
Ja, men om jag ber dig att motivera med fler steg det första steget du gör, skulle du kunna göra det?
Dvs hur går du från
till
Skulle du kunna skriva ut fler steg hur du gick däremellan och vilken logaritmlag du använde?
Notera alltså att jag vill att du gör det här för dig själv, för du måste kunna känna att du själv kan lita på att du räknat rätt när du gör det.
Päivi skrev :Boken beskriver på annat sätt hur man gör det här.
Det är inte alls ovanligt att det går att lösa uppgifter på flera olika sätt. Inget behöver vara "fel".
Hur gör de i boken?
Päivi skrev :Boken beskriver på annat sätt hur man gör det här.
Jaha. Vill du att vi ska använda samma metod som din bok?
Har du tänkt följa mitt råd att kontrollera att ditt svar stämmer? Eller är det bara det som Yngve skriver som spelar någon roll för dig? Jag vill gärna veta, för då kan jag lägga min tid på att hjälpa någon annan; det är trist när mina inlägg ignoreras.
Päivi skrev :Boken beskriver på annat sätt hur man gör det här.
Nu ska jag vara petig med valet av ord, för det här är viktigt.
Boken beskriver inte "hur man gör". Boken beskriver hur man kan göra. Boken beskriver ett sätt att lösa uppgiften.
Om du bara gör rätt i varje steg i dina beräkningar kan du nog ibland hitta dina egna lösningar på uppgifter. Se bara till att varje litet steg blir rätt.
Jag ville ta upp detta för visning inte för om svaret är rätt eller fel eller kontrolleras. Det var bara att boken säger annorlunda.
Det är inte konstigt om jag blir totalt blockerad. Jag har löst uppgiften för länge sedan. Den här uppgiften plockade jag bara fram för visning att jag följer inte vad boken säger. Meningen är inte att man behöver följa efter någon bok. Jag blir totalt blockerad av det här. Frågar man något, vet jag inte mera, vad jag ska svara.
Då frågar jag så här i stället: Är det något i din lösning du känner dig osäker på?
Jag blir osäker på att man tar upp det här på många olika sätt. Desto mera rörigt det är. Det går inte få något begrepp, hur det ska vara.
Det finns inget "rätt" recept på köttbullar.
Det finns ingen "rätt" väg att köra från Stockholm till Göteborg.
Det finns ingen "rätt" metod att lösa den här uppgiften.
Bubo skrev :Då frågar jag så här i stället: Är det något i din lösning du känner dig osäker på?
Jag misstänker mycket kraftigt att allt som står i mina block är fel även om facit säger att lösningen är korrekt.
Jag är mycket osäker idag. Jag har snart ingen aning om något vad som är fel eller rätt. Det gör att mitt självförtroende lika = 0 idag.
Päivi skrev :Jag blir osäker på att man tar upp det här på många olika sätt. Desto mera rörigt det är. Det går inte få något begrepp, hur det ska vara.
Det är därför du ska ta mindre steg Päivi, det är för att små steg är lätta att verifiera om de är rätt eller inte. Man kan lösa alla uppgifter på massor med olika sätt, alla sätt är rätt så länge alla steg på vägen dit är korrekt och det är just därför du ska ta små steg och verifiera att dessa steg är korrekta.
Det finns i princip bara två logaritmlagar
och
Detta är allt du behöver kunna, sedan behöver du bara kunna applicera dessa regler. Jag förstår inte riktigt varför du inte vill ta mindre steg?
Albiki skrev :
Päivi skrev :Boken beskriver på annat sätt hur man gör det här.
Jaha. Vill du att vi ska använda samma metod som din bok?
Har du tänkt följa mitt råd att kontrollera att ditt svar stämmer? Eller är det bara det som Yngve skriver som spelar någon roll för dig? Jag vill gärna veta, för då kan jag lägga min tid på att hjälpa någon annan; det är trist när mina inlägg ignoreras.
Jag godkänner dig lika mycket som alla andra. Jag har blivit väldigt osäker på allt. Jag vet inte, vad jag gör idag. Jag kan ingenting.
Det finns flera vägar att gå för att lösa exponential- och logaritmekvationer. Vägar som korrekt använder logaritmlagar och annan förenkling leder till rätt svar.
Följ Stokastisks råd och tänk på vad du gör i varje steg (och varför!).
Följ Albikis råd och testa alltid att din lösning stämmer. Det behövs inget facit till ekvationsuppgifter, eftersom man alltid kan (och bör, åtminstone när det är prov) verifiera lösningarna.
Tack Dr.G
Flera kommentarer.
Mina kommentarer skulle bara vara dubbletter av vad som redan sagts, möjligen formulerat något annorlunda.
ETT steg i taget, var det...
Men Päivi, nu försöker du ju bara blint följa hur boken har löst det. Då förstår du ju inte lösningen.
Stanna med den lösningen du hade, men skriv ut fler mellan steg! För att visa hur din lösning skulle sett ut med fler steg så ser det ut så här:
Låt logaritmlagarna vara
Vi börjar med
Logaritmera båda sidorna
Använd logaritmlag 1 på VL
Använd logaritmlag 2 på ,
Subtrahera från båda sidorna
Använd logaritmlag 2 på
Använd logaritmlag 1 på HL
Förenkla HL
Dividera båda sidorna med
Notera alltså att detta är inte någon metod jag har memorerat eller någonting sådant, allt jag kommer ihåg är de två logaritmlagarna jag skrev i början. Alla steg är väldigt enkla att verifiera att de är korrekta och jag har motiverat varför jag tycker att de är korrekta. Jag har alltså inte följt någon färdig mall från någon bok när jag gjort detta. Lösningarna i boken kan man mest se som en inspirationskälla till hur man kan lösa problemet.
Bubo skrev :Det finns inget "rätt" recept på köttbullar.
Det finns ingen "rätt" väg att köra från Stockholm till Göteborg.
Det finns ingen "rätt" metod att lösa den här uppgiften.
Matematiken är regel styrd efter recept som någon har hittat på.
Att använda metoden "tio upphöjt till logaritmen av" för att skriva om vänsterledet (och högerledet) är inte fel. Det fungerar bra, men själv tycker jag att det är lite onödigt komplicerat och att det är enklare att logaritmera bägge leden. Det sättet är inte heller fel.
Men det finns en fundamental skillnad i de båda angreppssätten som är väldigt viktig att hålla reda på.
Det gäller nämligen att , som i sin tur är lika med . Operationen "tio upphöjt till logaritmen av" är nämligen endast en omskrivning, den förändrar inte värdet av uttrycket.
Jämför att multiplicera ett tal med "1 uttryckt som ett bråk", som man gör när man till exempel ska få en gemensam nämnare. Om vi vill skriva om talet a så att det får nämnare 3 kan vi skriva , vilket är lika med . Här gäller det att talet och talet är identiska.
OBS! Däremot gäller detta inte när man logaritmerar. Det gäller alltså inte att är lika med ! Detta är inte en omskrivning utan en operation som förändrar värdet på uttrycket.
Därför är det viktigt att man logaritmerar bägge sidor i en ekvation, precis på samma sätt som man till exempel dividerar eller multiplicerar bägge sidor med ett tal när man vill förenkla.
Exempel på operationer som ändrar uttryckets värde:
Dividera bägge sidor med 3:
Logaritmera bägge sidor:
Exempel på operationer som inte ändrar uttryckets värde:
Multiplicera högerledets första term med och högerledets andra term med :
Förenkla:
Ta "tio upphöjt till logaritmen av VL":
Detta ändrar inte vänsterledets värde.
Päivi, jag vill att du bekräftar att du förstår skillnaden mellan de olika metoderna och varför det är så viktigt att hålla isär dem:
- Den ena metoden (logaritmering) ändrar uttryckets värde och måste alltså användas samtidigt på både VL och HL i en ekvation.
- Den andra metoden ("tio upphöjt till logaritmen av") ändrar inte uttryckets värde och kan därför användas på en term i en ekvation utan att man för den skull behöver göra något med de andra termerna.
Första punkten begriper jag och lika den andra också.

