Beräkningar av motstånd för prismatiskt båtskrov
Jag är ingen fysiker eller matematiker utan har mest grundläggande kunskaper men hoppas lära mig en del av detta projekt.
Jag försöker att implementera metoden och formlerna för att beräkna motståndet i ett planande båtskrov med hjälp av CAHI metoden, hela beskrivningen som jag försöker följa finns här: https://slideblast.com/planing-hull-resistance-calculation-the-cahi-method-presented-at-_595669c71723dd0796126a92.html
Men jag ska försöka förklara så gott det går här så ni inte behöver läsa dokumentet(som är källa för det jag postar här). Börjar såhär:
"Solving the Equations of the CAHI Method
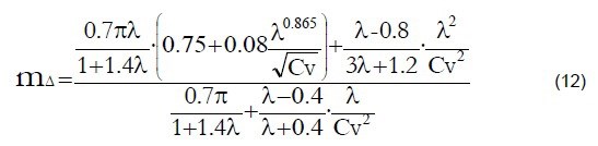
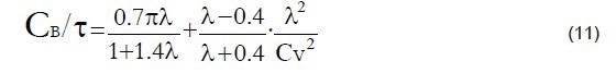
First the equation (12) should be solved to find the mean wetted length over beam λ, and then using equation (11) the trim of the flat plate τ, could be calculated. In solving equation (12) as a first estimator for λ, the value of (4/3)·LCG can be used. The lift coefficient CB is calculated from equation (3)."



För att lyckas med det så måste man så vitt jag förstår även göra beräkningar som inte är angivet i texten. Cv ingår i både ekvation 11 och 12, i dokumentet finns det två olika formler angivet för att beräkna Cv. Det står dock inte vilken av ekvationerna man ska använda i ekvation 11 respektive 12:
Om det är ekvation 5 det ska vara så krävs även ekvation 2 och 4:
Ekvation 1 ger Cv utifrån hastighet(V), gravitationsacceleration(g) och planade ytans bredd(b).
Ekvation 5 ger Cv utifrån hastighet(V), gravitationsacceleration(g), deplacement(inverterad triangel), vikt(triangel), vattnets densitet(ρ) och planande ytans bredd(b)
Jag får till beräkningarna men beroende på vilket Cv som används så får jag olika resultat. Själva texten i dokumentet är i min mening inte helt tydlig och det finns inget exempel. Jag har googlat CAHI method och hittar förvånansvärt lite info förutom just detta dokument.
Det finns ett par fler frågetecken, men jag tänkte att vi börjar med detta så får vi se om jag kör fast mer sen.
Fråga: Vilken ekvation ska användas för att beräkna Cv till ekvationerna 11 respektive 12?