Beräkningar av tangens
Jag har ett problem som ska kunna lösas utan miniräknare.
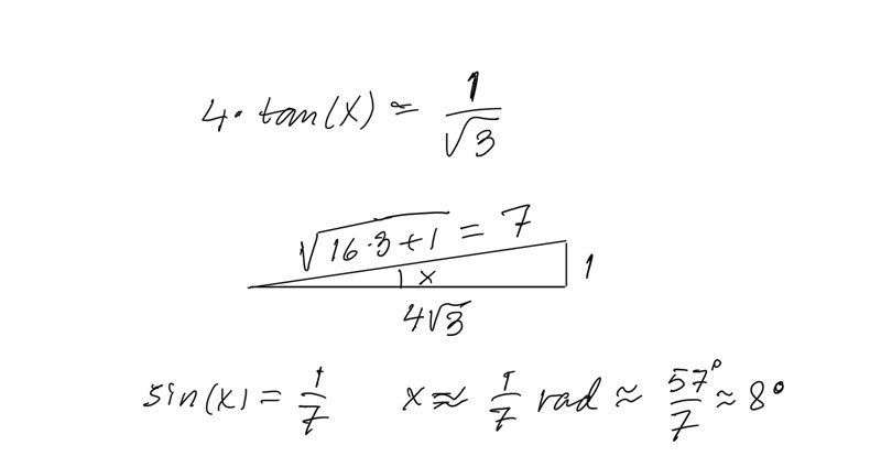
4tanx= 1/√3
I mitt första tankesätt:
arctan(1/√3) = 30*
med period skulle då 4x =30* + n•180*
Sedan divideras 4 bort och kvar blir x = 7,5* + n•45*
När jag sedan kontrollerar hur jag räknat vet jag inte om detta bara gäller tan(4x)= 1/√3 och att fyrans placering kanske spelar annan roll i beräkningen när den står framför tan-uttrycket.
Jag har också testat att dividera bort 4 som steg 1. Då blir dock kvar med ett uttryck jag inte kan utveckla utan hjälp av miniräknare.
Det du skriver gäller . Det är ju inte samma sak.
Ska ni hitta alla lösningar till ekvationen utan räknare? Det blir inga "trevliga" heltalsvinklar av den ekvationen precis som du skriver så det du kan göra i så fall är att svara exakt som :
