3
svar
110
visningar
Gulnigar_yeye behöver inte mer hjälp
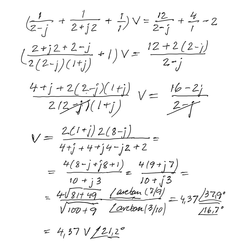
Beräkningar i komplex form

Jag har försökt lösa denna uppgift med samma metod som i lösningsförslaget men får inte fram rätt värde för V. I lösningsförslaget visas det inte när alla värdena sätts in och beräknas vilket får mig att tro att det kanske finns en snabbare sätt att beräkna V än att ständigt omvandla mellan komplex och polär form som jag har försökt göra. Finns det ett smidigare sätt räkna fram V?
Vad menar du med att "ständigt omvandla mellan komplex och polär form"? Du bör kunna omvandla till komplex form 1 gång och sedan beräkna värdet.
såhär har jag gjort men får som sagt fel svar
