”Beräkningar med tal i bråkform.” Räkna stora tal utan miniräknare. Tips?
Hej.
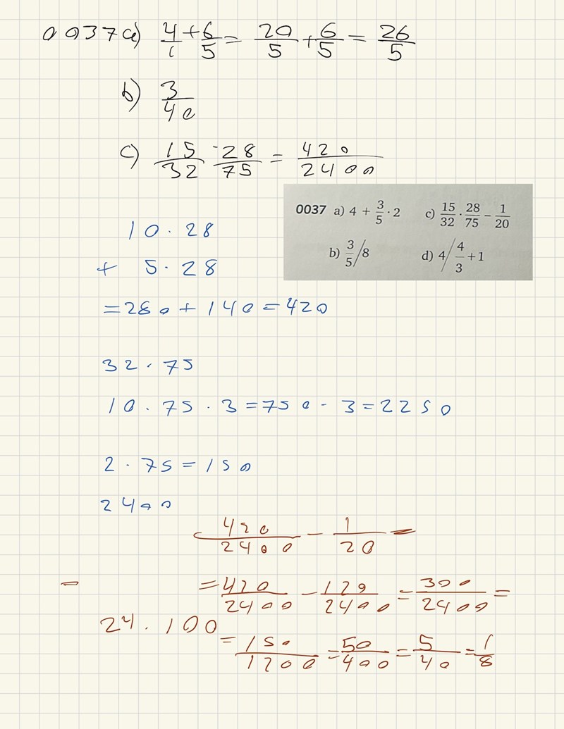
Jag förlorade en del tid på denna uppgift och det var inte menat att man skulle räkna med miniräknare på c). Vad är det rekommenderade sättet att räkna vid en sådan uppgift?

Mvh
Knepet är att förkorta innan man multiplicerar. Då blir det så här:
I första steget ser jag att 75=5*15 och förkortar med 15. I andra steget ser jag att 7*4=28 och 8*4 = 32 och förkortar med 4.
Till sist behöver du göra om 1/20 till 2/40, subtrahera och förkorta, men det klarar du säkert själv, fråga annars!
SvanteR skrev:Knepet är att förkorta innan man multiplicerar. Då blir det så här:
I första steget ser jag att 75=5*15 och förkortar med 15. I andra steget ser jag att 7*4=28 och 8*4 = 32 och förkortar med 4.
Till sist behöver du göra om 1/20 till 2/40, subtrahera och förkorta, men det klarar du säkert själv, fråga annars!
Väldigt bra tips! Tack!