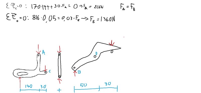
Beräknta kraften mellan plåtsaxen och ståltråden.


Plåtsaxen som visas i figuren kan användas för att klippa av ståltråd. Kraften F = 144 N anbringas på tångens handtag som ligger på avståndet L = 0,14 m från den första leden. Saxen består av 4 leder: A, B, C och D. Ståltråden illustreras i E. Leden A är ej ihopkopplad med det övre handtaget. Obs! Betrakta måtten i figuren som exakta med 3 v.s.
Vad blir storleken på kraften i E? Alltså kraften mellan plåtsaxen och ståltråden.
Har suttit fast med denna uppgift ett tag nu. Har försökt frilägga delarna och räkna med momentjämnvikt kring C och D för att få ut kraften E men fick fel svar 1360 N när det borde varit 2176 N
Så har uppenbarligen gjort fel på antigen friläggningen eller hur jag tänkt att uppgiften ska lösas, så all hjälp uppskattas!
Studera horisontella avståndet mellan B och D lite närmre.
Toppen! det var där problemet var.
Ändrade från 0.05 till 0.08 och då blev det rätt!
Tack så mycket