1
svar
95
visningar
Berökna integralen

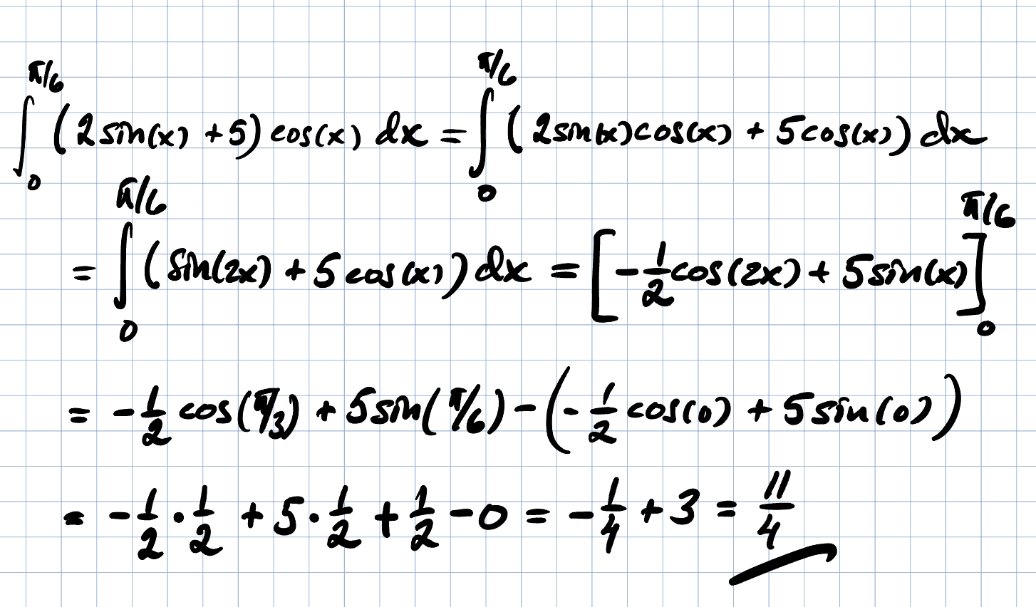
Hejhej tänkte först 2sinx*cosx= sin2x.
Här kan ni se hela lösningen.
Men detta var fel.
Här är facitet:
du har gjort helt rätt, men öva på trig. beräkningar samt bråkräkning, om räknare inte är tillåtet.
