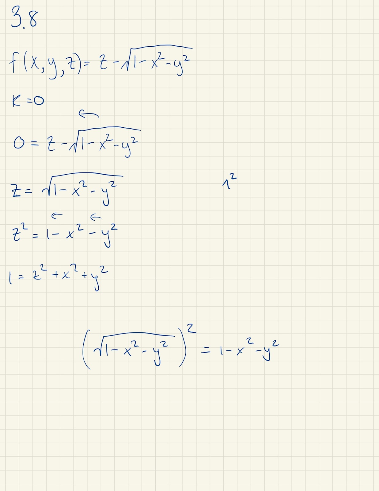
Beskriv geometriskt de nivåytor där f(x,y,z)=k, k=0,1 (J.Månsson 3.10)
Hej!
Har sött på lite problem med följande uppgift:

Där jag har gjort följande:

Inser att orginalfunktionen blir möjligen förändrad av min kvadrering men förstår inte riktigt varför man inte kan göra så?
Det går bra, men man kan få falska rötter när man kvadrerar som man måste vara försiktig med.
Tex i detta fall så kan den kvadrerade ekvationen uppfyllas av negativa z-värden, men det går inte med ursprungsekvationen.
Ah, just det! Så hur hade man gått till väga för att försöka rita en sådan här figur? Sätta en axel till 0, en axel i taget och "titta från olika håll?" (likt för en/två mantlade hyperboloider)
Om man utgår från den kvadrerade ekvationen (som beskriver en sfär) så har vi
z2 = 1 - x2 - y2 vilket innebär att z = +/- sqrt(1-x2-y2).
Vi ser att minustecknet ger lösningar som inte stämmer med ursprungsekvationen. Dessa måste vi bortse från. Dvs vi får en sfär, men utan den del som ligger under xy-planet (negativa z).
Jaaa! Tack nu hänger jag med!