3
svar
161
visningar
Chokladboll behöver inte mer hjälp
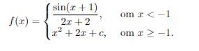
Bestäm konstanten c så att följande funktion blir kontinuerlig vid x = −1.
Hej, har en fråga om denna uppgift

Om jag förstår det rätt så ska man sätta dom här två lika varandra och sedan göra en vanlig ekvation. Jag får då svaret till c = -1 medans facit säger 3/2.
Bestäm gränsvärdet då x går mot -1 för den övre funktionen.
okej jag gjorde så och har nu fått korrekt svar tack för hjälpen.
Bra att du fick korrekt svar, känns det dessutom rimligt
?