Bestäm 2:a derivatan av h

Jag tänker nånting i stil med så här:
h'(x) är rätt. Vad blir h''(x)?
Laguna skrev:h'(x) är rätt. Vad blir h''(x)?
Då kan jag väl derivera igen för att få fram 2:a derivatan.
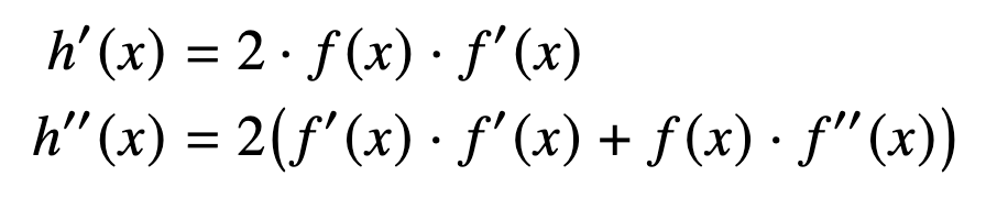
Arup skrev:Laguna skrev:h'(x) är rätt. Vad blir h''(x)?
Då kan jag väl derivera igen för att få fram 2:a derivatan.
Ja
så blir det då:
Nej, använd produktregeln.
Jag tycker det lite svårt att derivera med produkt regeln om vi inte har funktion på formen eller
Jag tänker spontantg på

Skulle du kunna visa ?
Arup skrev:Jag tycker det lite svårt att derivera med produkt regeln om vi inte har funktion på formen eller
Jag tänker spontantg på
Skulle du kunna visa ?
Exakt den reglen skall du använda på
2f * f'
Du får
D(2f) * f' + 2f * D(f')
Kan du utveckla detta?
Trinity2 skrev:Nej, använd produktregeln.
Ska det bli så här ?

f(0)*f''(0) får du till 3*2, men f(0) är inte 3.
Ok, men allt annat när det kommer till uträkning var väl rätt ?
En rad börjar
h''(x) = 2*f'(x)*f'(x) ...
och på nästa rad står det
h''(x) = f'(x)*(2*1) ...
Hur gick det till?
Jag brlt ut ett f'(x)
Tillägg: 29 dec 2025 11:13
bröt*
Ser du att det inte stämmer?
varför skulle du inte funka med att bryta ut ett
Arup skrev:varför skulle du inte funka med att bryta ut ett

Sätt nu in x=0 och använd informationen från uppgiften.
Arup skrev:varför skulle du inte funka med att bryta ut ett
Om du bryter ut rätt, ja.
Varför skulle f'(x)*f'(x) vara lika med f'(x)?

