Bestäm


Differenskvoten stämmer inte.
Du har gjort ett enkelt misstag på grund av att du gör för många steg i huvudet.
Återigen är mitt tips följande Päivi:
- Skriv ut uttrycket för f(0+h).
- Skriv ut uttrycket för f(0).
- Använd dessa uttryck i differenskvotens täljare.
Då minskar risken för att det blir fel.
Jag undrar lite varför du konsekvent vägrar att följa mina tips Päivi? Det är inte av illvilja jag ger dem till dig.
Det här är nu gissnings tävling. Jag förstår inte Yngve nu dig. Det är inte så att jag vägrar. Jag förstår helt enkelt inte.
Jag menar så här:
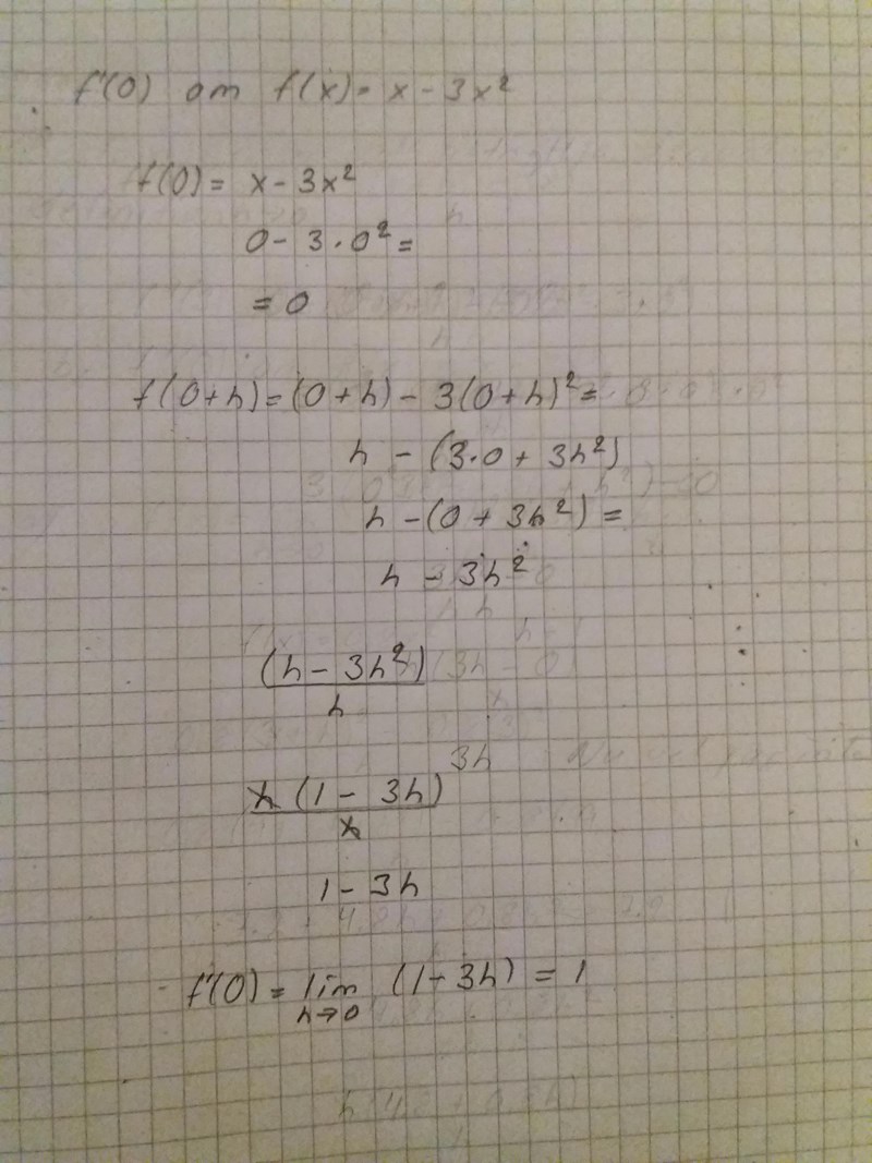
Differenskvoten vi ska ta fram är (f(0+h) - f(0))/h
Eftersom f(x) = x - 3x^2 så är
- f(0) = 0 - 3*0^2 = 0
- f(0+h) = (0+h) - 3*(0+h)^2 = h - 3h^2
Om vi nu sätter in dessa uttryck i differenskvoten så blir den ((h - 3h^2) - 0)/h.
Förstår du att skillnaden är det extra steget att uttryckligen skriva ut uttrycken för f(0) och f(0+h)? Då minskar risken att göra fel.
Bra Päivi. Ser du hur lätt det var att få till korrekta termer i differenskvotens täljare?
Jag rekommenderar dig starkt att alltid göra på det sättet framöver.
Derivatan i det här fallet är ju noll.
Hur är det med den andra uppgiften?
Päivi skrev :Derivatan i det här fallet är ju noll.
Hur är det med den andra uppgiften?
Du har ju precis räknat fram att derivatan är ett.
Ursäkta Bubo med nollan!

