Vad har du gjort i det nedre högra hörnet? Uträkningen ser korrekt ut, låt h gå mot noll och du har ett svar. Du kan kontrollderivera med deriveringsreglerna om du vill.
Hej Päivi.
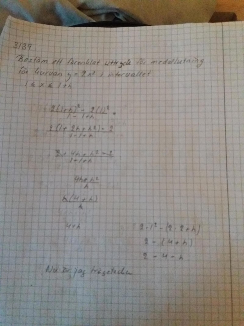
Du verkar ha kastat om ordningen på termerna i nämnaren. Det ska vara (1+h) - 1 där (blåmarkerat)
Du har tappat bort en faktor 2 framför -termen i täljaren (rödmarkerat)

Nej, här är det medellutningen i ett intervall man är ute efter, inte derivatan. Du är alltså färdig när du har kommit fram till uttrycket 4+h. 4+2h.
EDIT: Oj, nämnaren la jag inte märke till, inte 2an heller. Jag behöver kaffe.
Nämnaren är mycket riktigt h, men hur fick du fram det? Du borde tänkt (1+h) - 1.
Så mycket derivata kan inte jag att jag kan än kontrollera. Jag är bara nybörjare inom området. Nu vet jag inte riktigt, hur jag ska fortsätta därifrån
Uttrycket ska vara 4 + 2h, se kommentar ovan.
Smaragdalena skrev :EDIT: Oj, nämnaren la jag inte märke till, inte 2an heller. Jag behöver kaffe.
Du är inte ensam. Jag såg inte heller nämnaren. 
Och jag såg inte tvåan.
Ha Ha! Drick ni nu kaffe där! Jag har redan druckit kaffe!
Tack för trevliga stunden. Tack för detta.
Bubo skrev :Och jag såg inte tvåan.
Pluggakuten osar av fredag idag! :)
Ha, ha!
Päivi skrev :Så mycket derivata kan inte jag att jag kan än kontrollera. Jag är bara nybörjare inom området. Nu vet jag inte riktigt, hur jag ska fortsätta därifrån
Behöver du fortfarande hjälp med denna?
Nej, Yngve!
Tack för hjälpen!
