Bestäm a
Uppgift 3118 b
Hur har du tänkt själv? Vad är sambandet mellan och utströmningshastigheten?
Där är jag frågande.
Vad får du om du räknar ut:
?
Vilket tecken har derivatan?
Det brukar vara så y1- y2/ x1-x2= vad det blir av det här. Mera än så har jag inte fått lära av boken än.
Jag vet att roten av 600 ger mera rätt svar, men vet inte, om det är ens rätt.
Päivi skrev :Det brukar vara så y1- y2/ x1-x2= vad det blir av det här. Mera än så har jag inte fått lära av boken än.
Det låter som om du har läst lite förberedelser, men inte kommit fram till derivator än. Är det så? I så fall måste den här uppgiften få vänta lite.
Utströmningshastigheten under det där intervallet får man av
Eftersom detta alltså rinner ut så kommer det vara negativt. Sedan vill dom att du ska lösa ekvationen
Det här från början av derivatan. Har inte kommit långt med den än. I kapitlet står det ändrings kvoter och begreppet derivata. Är nybörjar stadiet med den.
Jag förstår, men hur ska man göra det.
Det gäller att
Så nu ska du alltså lösa ekvationen
Stokastisk skrev :Utströmningshastigheten under det där intervallet får man av
Eftersom detta alltså rinner ut så kommer det vara negativt. Sedan vill dom att du ska lösa ekvationen
Är inte uppgiften lite märkligt formulerad? Jag skulle tolka utströmningshastigheten momentant vid en viss tidpunkt. Det uttryck du har satt upp är ju genomsnittliga utströmningshastigheten. Dock är det säkert det som avses eftersom de talar om ett intervall: .
Det förvillade mig också.
Det borde stått genomsnittliga utströmningshastigheten.
Bubo skrev :Det förvillade mig också.
Det borde stått genomsnittliga utströmningshastigheten.
Great minds... ☺️
Ursäkta att jag inte kunde ta detta här nyligen. Jag har svarat till en som jag nyss diskuterade med. Sedan åt jag lite gröt nyss.
Nu ska jag titta på det här som ni skrev här.
Jag ska försöka lösa den här uppgiften. . Har inte börjat med det än. Vet nu, hur jag ska göra i alla fall. Jag tror att jag måste till mat affären. Hoppas inte soporna följer med dit den här gången.
Återkommer snart.
Nu blev ju diskussionen lite q rörig men principen är alltså
(Skillnaden i volymen) / (Skillnaden i tid)
Det blev inte rätt svar.
På andra raden har du stoppat in ett t som inte bör vara där, det ska vara variabeln a istället. Sedan efter det så har du stuckit iväg på något sidospår som inte blir relevant.
Kan du förenkla V(a) - V(0)? Alltså enbart detta uttryck.
Det ser ut som andragrads ekvation ändå. Ska jag bryta om jag nu stoppar a där det finns t. Jag ska sätta a dit.
Vi får se vad det blir för ekvation efter vi har förenklat VL. Där du har skrivit t så ska det stå a, dvs är du med på att
samt att
?
Vad får du om du tar och förenklar uttrycket V(a) - V(0)?
Den ena är 20000
Du behöver vara tydligare och säga vilken som är 20000, men visst, ja det stämmer att V(0) = 20000. Vad får du då om du förenklar
V(a) - V(0)
Det förenklade uttrycket kommer alltså att bero på variabeln a, så du behöver inte försöka få bort den variabeln på något sätt.
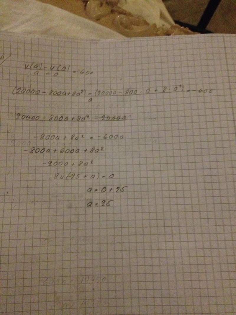
Vi får den andra 20000- 800a + 64 a
I täljaren har vi
20000- 800a + 64a- 20000/a= -600
multiplicerar vi - 600 med a
Sedan tar 20000 ut varandra. Har vi enbart A kvar. Vi kommer inget vart med det.
Nej det stämmer inte att V(a) = 20000 - 800a + 64a, det går inte förenkla V(a) nå mer än att
Det är alltså inte 8 som är i kvadrat i sista termen, utan det är endast a som är kvadrerat. Därför har du att
Vad får du om du fortsätter förenkla detta?
Då får vi bort helt 20000, de tar ut varandra. Vi har kvar i täljaren
- 800a + 8 a^ 2= - 600a
Ja det där ser mycket bättre ut. Kan du lösa den där ekvationen nu?

Det ser ganska bra ut, jag markerade dit två lika med noll. Men sedan, den orangea färgade ekvationen, är inte också a = 0 en lösning där? Kan du motivera varför den lösningen inte är relevant för problemet?
Vi har 8 utan utanför som ställer till problem.
Varför ställer den till med problem?
Jag är nu osäker.
Vad är du osäker på? Du har kommit fram till ekvationen 8a(-25 + a) = 0, detta innebär att 8a = 0 eller att -25 + a = 0. Den senare ekvationen har du löst korrekt och fått fram att a = 25. Ekvationen 8a = 0 innebär att a = 0, men a = 0 är inte en lösning på det ursprungliga problemet, ser du varför?
Det är 8a som är= 0.
Ja, men vad är lösningen till 8a = 0?
Nu förstår jag inte vad du menar.
Vad har ekvationen 8a = 0 för lösning? Alltså för vilka/vilket a är 8a noll?
Det är urprungliga ekvationen som har gjord det.
a är lika med 25
Ja det är korrekt att lösningen på problemet ska vara a = 25. Men när du har ekvationen 8a(-25 + a) = 0, vilka lösningar har den ekvationen?
Innan det här blir riktigt förvirrat, tar jag och repeterar hur uppgiften löses:
Först, att förstå själva frågan. Om 600 liter rinner ut på en minut, eller 1200 liter på två minuter, eller 1800 liter på tre minuter, eller 600*a liter på a minuter, så är hastigheten 600 liter/minut.
Vi börjar med 20000 liter, och har efter a minuter (2000 - 800a + 8a^2) liter.
Det har alltså runnit ut (800a + 8a^2) liter på a minuter. Då vet vi att (800a + 8a^2) / a = 600.
Vi löser andragradsekvationen. Det finns två lösningar, och så funderar vi en extra gång på om bägge lösningarna till ekvationen verkligen är lösningar till uppgiften.
Klart.
Den har två lösningar och den ena är 8a = 0 och den andra är a= 25
Fast att säga att 8a = 0 är en lösning är inte korrekt, du måste berätta vilket a som löser ekvationen! Vad måste a vara om 8a ska vara noll?
Då måste 25 stoppas in, där det finns A och och då måste det gå ihop om det är en lösning.
A måste vara noll, om det ska bli noll.
Haka inte upp dig på det. Om vi har åtta likadana påsar, som tillsammans innehåller noll äpplen, så finns det såklart noll äpplen i varje påse. Självklart, eller hur?
8*a = 0 har lösningen a=0.
Ja, visst.
Stokastisk skrev :Vad har ekvationen 8a = 0 för lösning? Alltså för vilka/vilket a är 8a noll?
Och ändå svarade du inte på just den frågan, på nära en halvtimme.
Nu förstår jag inget mer.
Stokastisk frågade dig, "Ja, men vad är lösningen till 8a = 0"och du svarade "Nu förstår jag inte vad du menar."
Sedan blev det upprepningar och förvirring, trots att själva uppgiften var så gott som klar.
Päivi, om du läser ursprungliga frågan, skulle du då kunna förklara varför a = 0 inte kan vara ett svar på frågan?
Jag förstår inget mer.
Du förstår ingenting. Nyss förstod du att 8a(-25 + a) = 0 har lösningarna a = 0 och a = 25, men det förstår du inte nå mer? Så ska vi försöka förklara det igen för dig?
Ursprungliga är - 600
Frågan är
"I intervallet är utströmningshastigheten 600 liter/min. Bestäm a."
Är detta påstående vettigt om a = 0?
Ja, det är det.
Om a = 0 så står det där att
"Under ett tidsintervall som aldrig skedde så var utströmningshastigheten 600 liter/min".
Du ser inget problem med det?
Jag somnade mitt i allt. Jag var väldigt trött. Vaknade upp några timmar senare. Var tvungen göra i ordning djuren. Telefonen ramlade på golvet och jag visste ingenting mer.

