Bestäm a
Uppgift 25) fattar inte asså jag räkna genom avståndsfomlen men att det finns ett a klurar till det
Fatima0277 skrev:
Uppgift 25) fattar inte asså jag räkna genom avståndsfomlen men att det finns ett a klurar till det
Ett tips om du verkligen vill lära dig.
Kladda inte sådär på uppgiftspappret, skriv mer noggrant och ha mer tålamod. Försök posta bilder som inte är snea heller, ansträng dig annars kommer du inte lära dig.
Skriver du prov just nu?
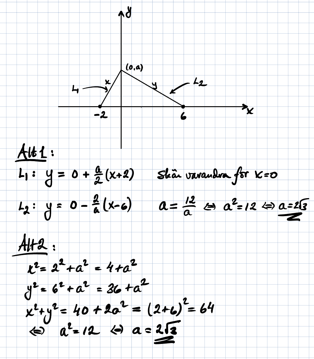
Den sista punkten ligger på (0,a) Någonstans på y-axeln alltså.
Vi vet också att triangeln är rätvinklig.
Använd pythagoras sats för att få ett uttryck på kateternas längd i den rätvinkliga triangeln 
Försök med denna metod och berätta hur det går
Korras tips är utmärkt!
Eftersom det är bra att ha flera verktyg i verktygslådan, så kan du även prova en annan variant:
Dra räta linjer från respektive känd punkt genom (0, a).
I Matte 1 går man igenom hur man visar att två räta linjer skär varandra i rät vinkel:
Parallella och vinkelräta linjer - Matteboken

PS. Nej, lösningen är inte a=3,5.
