1
svar
59
visningar
Lovisa7 behöver inte mer hjälp
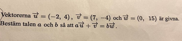
Bestäm a och b, vektorer

Vet inte riktigt hur jag ska tänka, har försökt byta ut de värden jag redan har, men det är ju två värden jag behöver ta reda på, så det går ju inte att lösa som en vanlig ekvation.Hur ska jag tänka?
Tips: Om två vektorer (c, d) och (e, f) är lika så gäller det att c = e och att d = f. Dvs de två x-koordinaterna är lika och de två y-koordinaterna är lika.
Vektorekvationen ger oss alltså två ekvationer som ska vara uppfyllda samtidigt.
Det ger oss möjlighet att bestämma de två obekanta storheterna a och b.
Kommer du vidare då?