4 svar
107 visningar
Bayan Ali 1122 – Fd. Medlem
Postad: 29 maj 2022 16:45

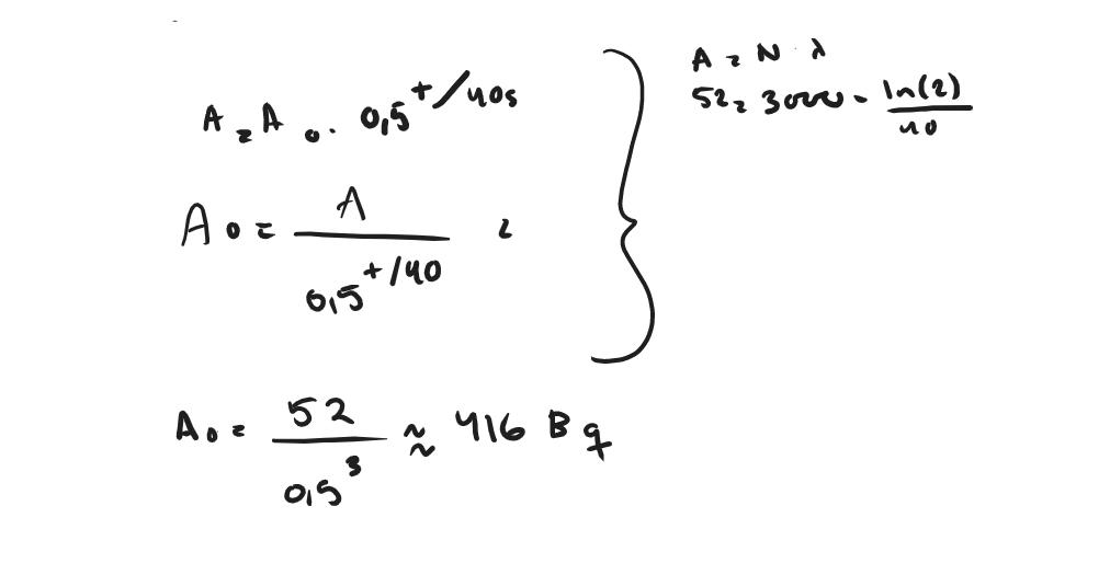
bestäm aktiviteten

Löste a och b och fick ca 40 och 250 sekunder

Fattar dock inte hur jag ska lösa c

Bubo 8109
Postad: 29 maj 2022 16:57

Att det är tiden 0 s man frågar efter är du nog med på.

Sedan gäller det att ha koll på ordet "aktiviteten". Är du med på vad ordet betyder och hur man räknar fram aktiviteten?

Bayan Ali 1122 – Fd. Medlem
Postad: 29 maj 2022 17:03

Ja

Bubo 8109
Postad: 29 maj 2022 17:58

Då så - du har ekvationen för antal atomer vid en tid, dvs N(t), och du har hittat sönderfallskonstanten.

N(t) = N0·e-λ·t

Du har allt du behöver.

Bayan Ali 1122 – Fd. Medlem
Postad: 30 maj 2022 10:31

Enligt facit så ska svaret blir 500Bq men jag får endast 416Bq tror du att de har avrundat grovt i facit eller har jag tänkt fel?

Svara
Close