Bestäm algebraiskt ekvationen för tangenten
Bestäm algebraiskt ekvationen för tangenten till funktionen 𝑓𝑓(𝑥𝑥) i den givna punkten x. Förenkla
uttrycket så långt det går.
𝑓(𝑥) = 𝑥^3*cos(x)
𝑥 = 𝜋
jag tänkte först att stoppa 𝜋 i funktionen för då får jag mitt X och Y för att en tangenten har formeln y=kx+m
om jag stoppar in 𝜋 då får jag att y=-𝜋^3, sen deriverade jag funktionen med produkt metoden och stoppade min 𝜋 i den och då får jag lutningen -3x^2.
nu har jag följande:
X= 𝜋
Y= -𝜋^3
k= -3x^2
m=?
Då kan jag ställa denna ekvationen:
-𝜋^3 = -3x^2 + m
-𝜋^3 = -3𝜋^2 + m
3𝜋^2-𝜋^3 = m
sen blir jag fast här vid sista steg! jag räknar fel, photomath och andra appar ger olika lösningar.
vad är mitt M och har jag gjort allt rätt?
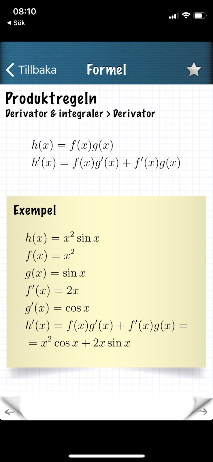
Till att börja med måste du använda produktregeln när du ska beräkna derivatan av , se exempel nedan:

jag görde det och jag fick 3x^2 * cos(x)-x^3sin(x)
jag sa jag gjorde det i min post