4
svar
169
visningar
brunbjörn behöver inte mer hjälp
Bestäm alla 2x2 matriser A sådana att AA^T = (A^T)A

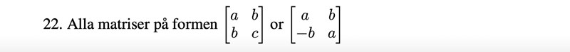
Svaret enligt facit: 


Varför får jag fel svar?
Mitt försök.

PATENTERAMERA skrev:
Mitt försök.
Tack för hjälpen! Men varför får vi inte tre matriser isåfall?
I fall 1 så kan a och d vara vilka värden som helst. Dvs de kan även vara lika varandra. Så detta fall täcker in även det andra fallet som ett specialfall. Så det andra fallet är överflödigt att ta med.
PATENTERAMERA skrev:I fall 1 så kan a och d vara vilka värden som helst. Dvs de kan även vara lika varandra. Så detta fall täcker in även det andra fallet som ett specialfall. Så det andra fallet är överflödigt att ta med.
Tack!
PATENTERAMERA skrev: