3
svar
97
visningar
gillarhäfv behöver inte mer hjälp
Bestäm alla asymptoter till kurvan
Hej! Jag har fastnat på:
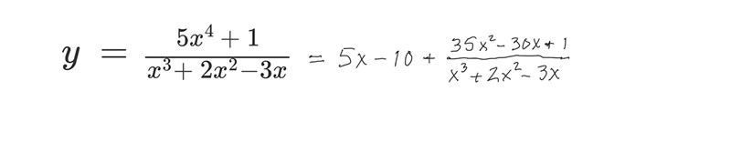
Bestäm alla asymptoter till kurvan:
Jag började med att använda pq-formeln på nämnaren (x), och då blev x:
x1 = 1
x2 =-3
Sedan (för y):
f(x) - k*x =
om jag gör samma metod för den andra roten, x2 = -3, får jag att
y = 5x +3
men i facit står det:
svar; x = 1, x = 0, x = -3
y = 5x -10
vart går det snett?
Gör en polynomdivision, med andra ord.
Laguna skrev:Gör en polynomdivision, med andra ord.
åh, ok! Tack!
