4 svar
166 visningar
Smulan 61 – Fd. Medlem
Postad: 12 jan 2020 15:54

Bestäm alla komplexa tal z

"Bestäm alla komplexa tal z så att z2+1-i=0.

Svar: z1=24e3πi8z2=24e4πi8"

Min uträkning

Två olika uträkningar, rent spontant kändes det som att den första var rätt, men sen ser jag att facit svarar på annan form. När jag sen försökte räkna på nytt så får jag att mitt argument blir olika för cos och sin, det borde ju bli samma väl! Förstår inte vart det går fel!!! Tack på förhand :)

cjan1122 416 – Fd. Medlem
Postad: 12 jan 2020 18:19

Om du löser detta i polär form kan du skriva z^2 = r^2(cos2v + i sin2v) = -1+i

r^2 = |-1+i| = sqrt(2)

sqrt(2)*(cos2v + i sin2v) = -1+i  ---> sqrt(2)*cos2v=-1  och  sqrt(2)*sin2v =1

Finns bara en vinkel som uppfyller detta 2v=3pi/4 + n*2pi ---> v=3pi/8 + n*pi

Detta ger v1=3pi/8 och v2=11pi/8 och eftersom r^2 var sqrt(2) blir r=24

Det går såklart ganska lätt att skriva om detta i samma form som i facit men jag ser inte hur 4pi/8 skulle kunna vara argumentet eftersom i-termen då skulle försvinna i kvadreringen. Möjligt fel i z2?

Smulan 61 – Fd. Medlem
Postad: 12 jan 2020 18:55

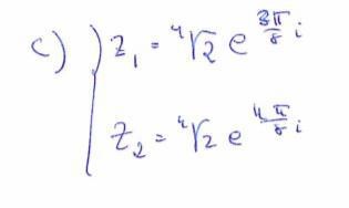
Facit jag har fått är tyvärr handskrivet, någon kanske kan tolka det bättre än vad jag gjorde?

Tack för hjälpen!

cjan1122 416 – Fd. Medlem
Postad: 12 jan 2020 18:56

Ok, bra! Det där ser ut som (11pi/8)*i vilket stämmer överens med det z2 som jag fick fram :)

Smulan 61 – Fd. Medlem
Postad: 12 jan 2020 19:01

Haha bra att någon har fungerande ögon iaf :) Tusen tack du!!!

Svara
Close