4
svar
134
visningar
destiny99 behöver inte mer hjälp
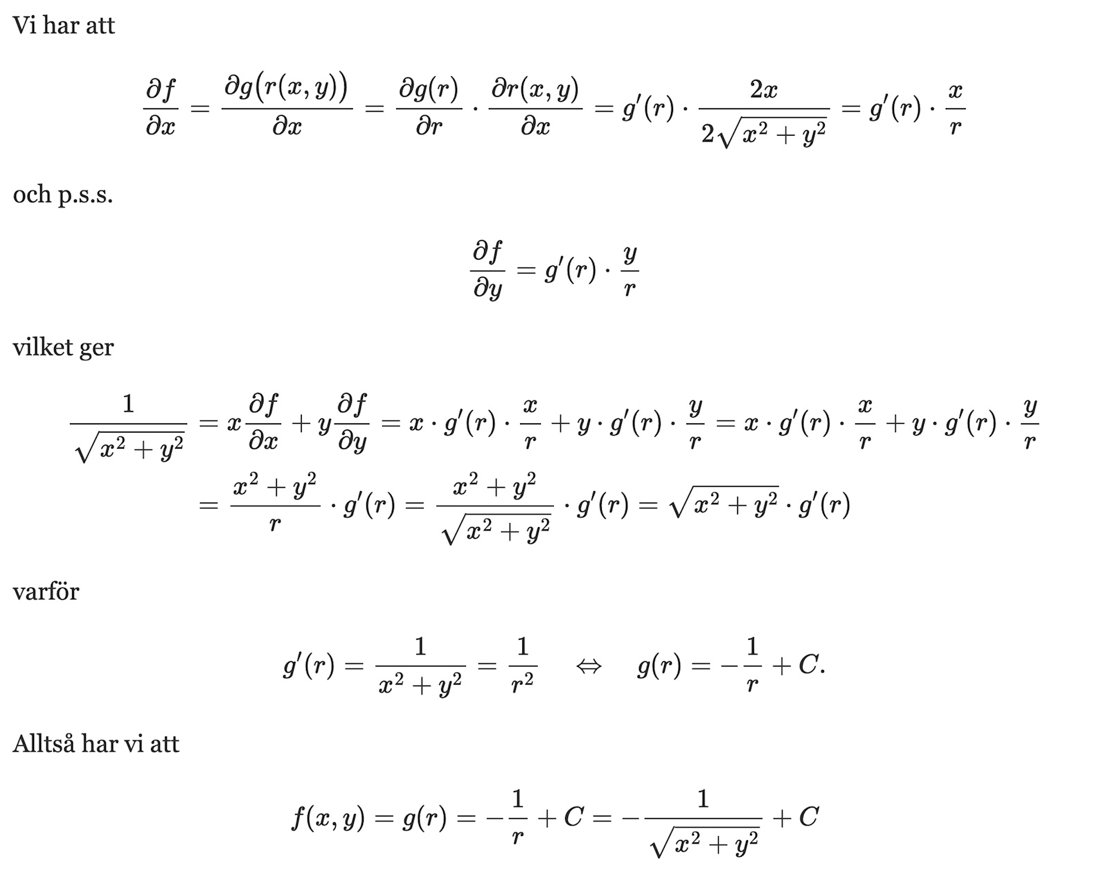
Bestäm alla lösningar till differentialekvationen av formen och en lösning om f(x,y)=1 om r=1


Hej!
Jag fastnade på denna fråga och vet inte hur jag skall bestämma alla lösningar efter att ha hittat partialderivatorna map x och y.
Du gör inte riktigt rätt på derivatorna.
Tex så har vi
.
PATENTERAMERA skrev:Du gör inte riktigt rätt på derivatorna.
Tex så har vi
.
Ska man derivera såhär då?

Trinity2 skrev:Jag tror de menar
Jo men jag fick samma sak jag med

