Bestäm alla reella lösningar till exponentialekvationen
Jag skulle behöva hjälp att lösa följande uppgift som jag brottats med ett tag nu.
Bestäm alla reella lösningar till ekvationen
.
Jag har provat på lite olika sätt. Om jag sätter och skriver ekvationen som
får jag . Ska jag jobba vidare på det spåret?
Sedan vet jag att man kan jobba med att skriva potenserna på andra sätt genom att använda potenslagarna, vilket jag gärna skulle få lite mera tips om hur jag kan göra.
Jag ser till exempel att Kan det vara användbart?
Om jag hade ekvationen z + 4/z = 14 skulle jag multiplicera båda sidor med z och använda pq-formeln.
Ja, Smaragdalena, jag gjorde så, och fick
vilket genom pq-formeln resulterade i lösningarna
Är det rätt?
I så fall har vi nu att är antingen
Hur kommer jag vidare?
Man skulle kunna logaritmera.
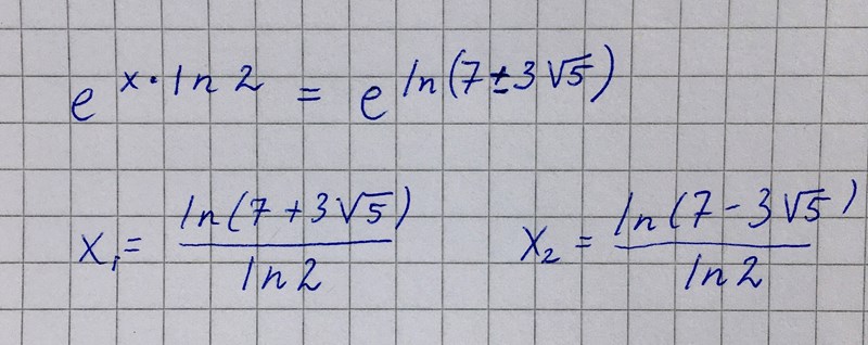
Jag skulle skriva om båda led med e som bas och sedan jämföra exponenterna.
Jag ser att jag skrivit fel i rubriken till uppgiften. Det är en exponentialekvation vi har att göra med här :-)
Kan detta vara ett sätt att lösa uppgiften?

Ser helt rätt ut!
(Sedan kan man ju tillägga att om man har en miniräknare som klarar log 2 är det enklare att logaritmera direkt, men detta ger samma resultat och är dessutom en metod som funkar för alla baser, så den är bra att kunna.)
Tack SvanteR och Smaragdalena!
Bytte potensekvation till exponentialekvation i din rubrik. /moderator