1
svar
67
visningar
notsogenius behöver inte mer hjälp
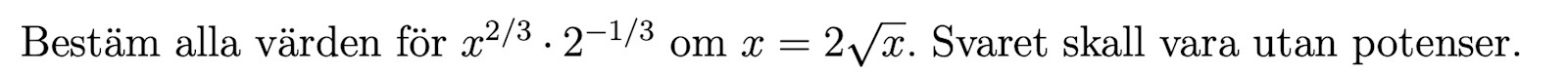
Bestäm alla värden för uttryck

Här började jag med att sätta in x och får fram x1/3*21/3 men vad gör jag nu?

Börja med att lösa ut x ur ekvationen .
Använd sedan detta i det givna uttrycket.