bestäm allmän lösning
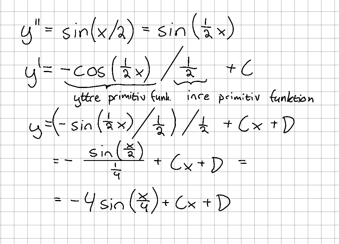
hur gör y''=sin(x/2) till y? genom primitiva funktioner
svaret är -4sin(x/2) + Cx och förstår inte var 4an kommer ifrån.
Prova att derivera sin(x/2) två gånger.
jag får -sin(x/2), kanske jag missar något.
Börja med att derivera sin(x/2) en gång. Glöm inte den inre derivatan.
är den inre derivatan 1/2?
Ja. Skall du dela eller multiplicera med den när du deriverar?
multiplicera?
Ja. Vad blir andraderivatan vi frågade efter?
y= -cos(x/4)?
Nej. Vart tog de inre derivatona vägen, och varför har du ändrat perioden?
Oj. Borde det då vara y=cos(x/2)*(1/2)? fattar inget
Hur beräknar du derivatatn y'(x), om funktionen y = sin(x/2)? Du har redan gjort det en gång, men det verkrar som om du behöver träna mer på det.
jaha. y'=cos(x/2) ?
Nu har du tappat bort inre derivatan, därför blev det fel.
kan du bara lösa uppgiften. du drar bara på tiden väldigt mycket och jag fattar knappt vad du menar.
Arigela skrev:kan du bara lösa uppgiften. du drar bara på tiden väldigt mycket och jag fattar knappt vad du menar.
Vi försöker få dig att förstå varifrån 4:an kommer. Om du inte kan derivera en sammansatt fuktion så kan du inte få fram rätt svar på den här uppgiften.
ja såklart jag vill veta varifrån 4:an kommer. men er förklaring tar mig inte så långt. orkar du inte visa lösningen eller?
Den kommer från den inre derivatan i två steg. En gång för den första integrationen, en gång från den andra integrationen. När man integrerar delar man ju med inre derivatan.

Hoppas detta hjälper
tack så hemskt mycket!