0
svar
190
visningar
Bestäm andragradsfunktion genom tre punkter (a, b), (c, d) och (e, f)
Hej!
Jag har klurat på ett lite problem som jag fortfarande känner mig osäker inom. Vi inlämning vill man givetvis att det skall vara rätt :)
Problemet lyder såhär:
Bestäm den andragradsfunktion som går genom punkterna (a, b), (c, d) och (e, f).
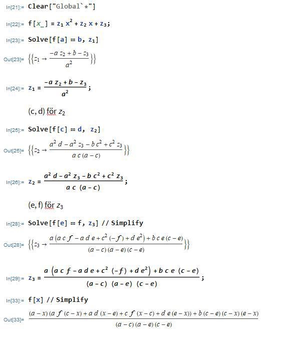
Jag har gjort såhär att för varje punkt (a, b), (c,d) och (e,f) har jag ersatt variablarna i ax^2+bx+c och ställt upp tre olika ekvationssystem för att lösa ut a, b respektive c. Därefter sätter jag in dessa värdena i den allmänna formen för en andragradsekvation.
För inte förväxla konstanterna med varandra löser jag ut z1, z2 och z3. Tror ni jag har gjort rätt?