Bestäm antalet rötter till ekvationen f(x)=ln(|x|)-x^2-x+3=a för alla reella tal a.
Jag har gjort uppgiften. Har fått denna tabell för alla lösningar för a. Jag vet inte riktigt hur jag ska formulera mitt svar korrekt
a antal rötter/lösningar
a>f(1/2) 0
a=f/1/2) 1
f(-1)<a<f(1/2) 2
a=f(-1) 3
a<f(-1) 4
Tacksam för svar!
Jag får fram en annan tabell, kan du visa hur du kommit fram till dina resultat?
Sedan tror jag att du ska ange a i form av (närme)värden, inte genom t.ex. f(-1).






Här är hela uppgiften jag har gjort. Tror att det finns några formella brister när jag kollar när kollar . Skulle gärna vilja ha hjälp med det med om du kan.
Så långt jag kan se är dina uträkningar korrekta, men slutsatsen och svaret är fel.
Jag ser följande brister/förbättringsområden:
- Uträkningarna är väldigt långa och de kan gott kortas ner, se nedan.
- På universitetsnivå behöver du inte redovisa hur du använder quadratic formula, det räcker att skriva att ekvationen -2x2-x+1 = 0 har lösningarna x = -1 och x = 1/2.
- Det är oklart varför du blandar in a i avsnittet där du sätter f(-1) = a och f(1/2) = a. Här skulle jag istället helt enkelt beräkna de två funktionsvärdena, för att använda i analysen i ett senare skede.
- När du bestämmer de stationära punkternas karaktär är det onödigt att redovisa det på två olika sätt (andraderivatans tecken vid de stationära punkterna och förstaderivatans tecken mellan/utanför de stationära punkterna). Behåll teckentabellen, den är bra.
- Det framgår inte hur du har resonerat när du kommit fram till antalet lösningar för de olika värdena på a (som är fel). Du bör redovisa det, gärna med hjälp av en grov skiss över funktionens graf baserad på dina tidigare uträkningar.
Tack så mycket för svar och hjälp! Jag ska som sagt förkorta ner mina uträkningar så mycket som möjligt. Jag tror faktiskt att mina värden på a är rätt. Kan skissa en graf och skicka här om du vill kolla. Hur ska jag formulera mitt svar? Är formuleringen på svaret, baserat på frågan rätt?
Helo skrev:Jag tror faktiskt att mina värden på a är rätt. Kan skissa en graf och skicka här om du vill kolla.
Som sagt, jag får ett annat antal lösningar för de punkter/intervall du anger. Du får gärna visa hur du motiverar ditt resultat.
Hur ska jag formulera mitt svar? Är formuleringen på svaret, baserat på frågan rätt?
Se svar #2.

Här är en grov skiss på grafen.
OK bra, då tror jag att jag förstår varför det har blivit fel.
Var ligger egentligen x = -1 och x = 1/2 på din x-axel?
Tror jag precis insåg mitt misstag haha! Jag ska skissa en ny graf o återkommer med svar. Så får vi ses om min uppgift blir rätt tillslut.
Det är inget fel på själva grafen.
Istället är det f(1/2) och f(-1) som har hamnat fel.
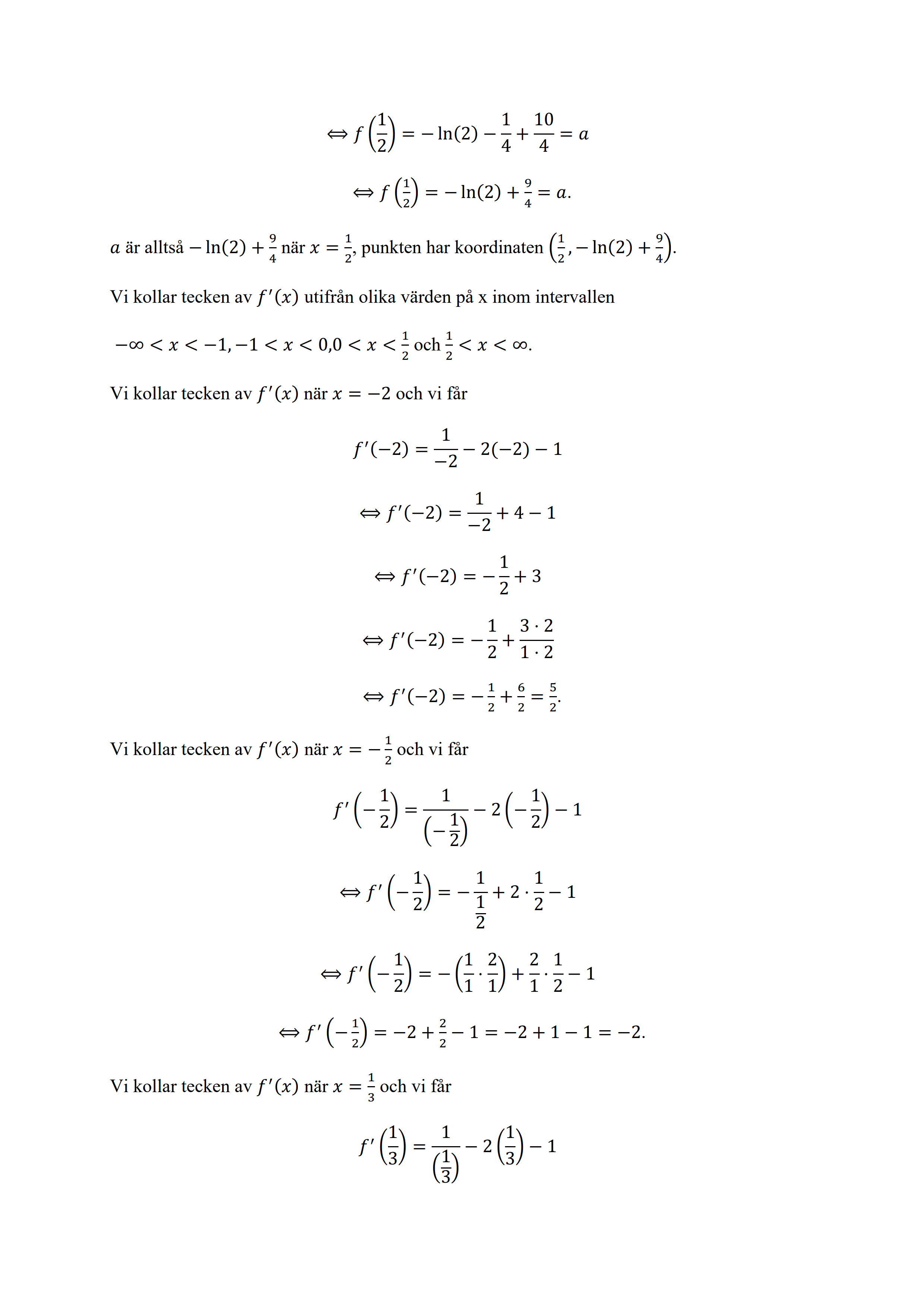
Du har ju tidigare konstaterat att f(-1) = 3 och att f(1/2) = 9/4 - ln(2)
Precis! Men på grund av det misstaget blev mitt svar på frågan fel. 
Ser allt rätt ut nu?
Ja, förutom att jag tycker att du ska ange intervallen och punkterna relaterat till värdena -1 och 9/4-ln(2) och inte relaterat till f(1/2) respektive f(-1).
Hmm. men de vill ju veta antalet rötter till ekvationen för alla reella tal a. eftersom dessa är mina max värden, kan jag utifrån de, få fram antalet rötter för alla reella tal a. Vilket jag visat, eller tänker jag fel?
OK vi tar ett annat exempel.
Säg att du har följande uppgift.
"Jonas kastar en sten snett upp i luften. Stenens höjd h meter ovan marken kan beskrivas av funktionen h(x) = 6x-x2, där x är stenens position i horisontell ledd. Vad är stenens högsta höjd?"
Du vet att maximipunkten befinner sig på symmetrilinjen, dvs vid x = 3.
Vad skulle du då ge för svar på uppgiften?
- Stenens högsta höjd är h(3) meter.
- Stenens högsta höjd är 9 meter.
Jag förstår jag ska skriva exempelvis när a=3 istället för när a=f(-1). Är allt rätt då?
Ja då ser det bra ut.