4
svar
107
visningar
Bestäm area

Jag har fastnat på fråga 24. Jag vet inte hur jag ska fortsätta. Jag har försökt lösa den som ni kan se på bilden under men jag kom inte längre. Vad gör jag för fel?

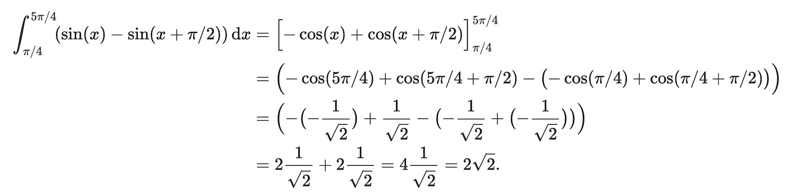
Ska du inte bara ta integralen från pi/4 till 5pi/4 av funktionen (sinx – cosx).
På din uträkning ser det ut att bli 4/(roten ur 2) eller
2 gånger roten ur 2
Jag ska testa lösa det som du sa. Jag tror att jag har börjat lösa fel från början.

https://mathb.in/80272