2
svar
94
visningar
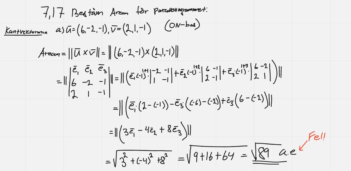
Bestäm area av parallellogram
Har räkat 2st snarlika uppgifter, men får enbart rätt svar på en av dem trots att jag använder samma metod.

Här på 7.17 får jag roten ur 89 a.e. När det ska vara 15 a.e.
Sen här i den andra uppgiften har jag gjort på samma rätt, men fått rätt svar.

Är det möjligt att det kan stå fel i facit eller är det något jag missförstått?
Tack på förhand!
Du skriver förvisso kantvektorerna u och v, men kan det vara så att en av dem är en diagonal i stället?
Laguna skrev:Du skriver förvisso kantvektorerna u och v, men kan det vara så att en av dem är en diagonal i stället?
Ingen aning. Det står kantvektorerna i uppgiften.