Bestäm arean av det färgade området.
Hej. Jag skulle behövs hjälp med en uppgift där jag ska ta fram arean av det grått färgade området. Här kommer bild:
Jag postar även bild på min pågående lösning av uppgiften. Jag tänker att jag ska ta fram ekvationerna för de två linjerna. Jag har döpt linjerna till L1 respektive L2. Min bild är inte hundra procent enligt original så att ni är medvetna om det.

Jag har fått L1 till: Y = 0,3x + 3 och L2 har jag fått till: Y = 4/10x + 4. Hoppas att detta är rätt metod och att jag kan ta mig vidare ifrån detta. 👱🏻♀️
Går det inte att se det som skillnaden mellan två trianglar minus skillnaden mellan två andra trianglar?
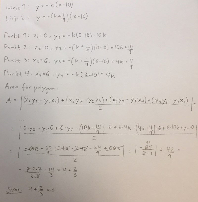
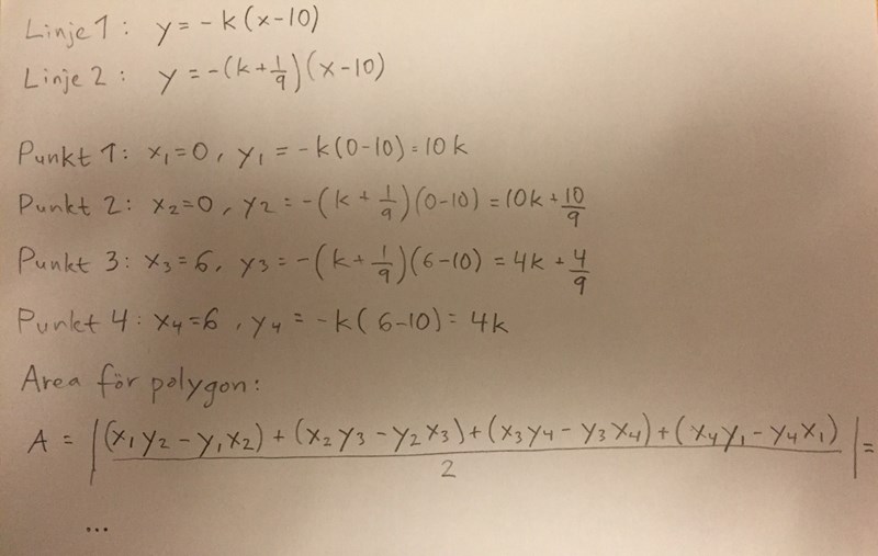
Nja, linjerna lutar ju nedåt så de måste ha negativ lutning. Med dina beteckningar blir ekvationerna
L1 : y = -0,4x + 4
L2: y = -0,3x + 3
Arean mellan dem beräknar man kanske enklast med en integral.
MEN vad frågas det efter? Fri översättning:
“Hur stor är arean mellan linjerna och inuti kvadraten,
om absolutvärdet av skillnaden mellan lutningen på linjerna är 1/9?”
Arktos skrev:...
MEN vad frågas det efter? Fri översättning:
“Hur stor är arean mellan linjerna och inuti kvadraten,
om absolutvärdet av skillnaden mellan lutningen på linjerna är 1/9?”
Jag tolkar det som att , dvs om den ena linjen till exempel har lutningen så har den andra linjen lutningen .
Men jag är tveksam till att förutsätta att den ena linjen skär y-axeln i (0,4), även om det ser ut så på bilden. Och om den ändå gör det så skär inte den andra linjen y-axeln i (0,3) eftersom skillnaden i lutning då blir 1/10 och inte 1/9.
Om höjden någonstans är x för den undre linjen så är alltså höjden för den övre linjen (1+1/9)x = 10x/9.
En annan variant:
Plötligt såg jag att det område vars area vi söker, är ett parallelltrapets! Då behövs det inga integraler för att beräkna arean. För den har vi en formel: (a + b)·h/2 där a och b är de två parallella sidorna och h är höjden.
Trapetsets parallella sidor är här de delar av kvadratens lodräta sidor som ligger mellan linjerna. Trapetsets höjd är lika med bredden på kvadraten, dvs 6. Ju längre åt vänster vi går från (10, 0), desto större blir det lodräta avståndet mellan linjerna. Och ju mer olika de lutar, desto mer går de isär för varje steg vi tar åt vänster.
Aha, då går problemet att lösa [men nu stannar jag här, fortsätt själv :-)]
Det känns det konstigt att säga “ett trapets”, tycker jag, men sakkunskapen menar att det är så det heter när det gäller den geometriska figuren. Man säger dock fortfarande “en trapets” om sådana trapetser som akrobater svingar sig i.
https://svenska.se/tre/?sok=trapets&pz=1
tomast80 skrev:Ett sätt att lösa den på:
https://www.mathopenref.com/coordpolygonarea.html
Nä Tomast80. Så ser det ej ut i facit. Kanske eventuellt när man hade ersatt x respektive y med dess värden så kan man pröva sig fram men det blir också en evig uträkning...!🙈
tomast80 skrev:Ett sätt att lösa den på:
https://www.mathopenref.com/coordpolygonarea.html
Har vi etablerat att den övre linjen skär i (0,4)?
Det här problemet löses enklast med förståelse snarare än fixering vid former och algoritmer. Att absolutbeloppet hos skillnaden i lutningar är 1/9 kan rakt av förstås som att linjerna divergerar med 1/9 per steg i x-led likt hur en skillnad i två stafettlöpares hastigheter utgör ett mått på hur snabbt de rör sig mot varandra eller glider isär.
Utifrån detta är det uppenbart att skillnaden vid y-axeln är 10/9 = 0.9 vilket kan ses som basen hos en triangel/trapets.
Gällande arean är det inget fel på likformighet och relationerna mellan längd och areaskalor. Det grå området kan ses som skillnaden mellan en stor och en liten likformig triangel.
Den stora har en area (10/9)*10/2 = 50/9
Den mindre är 4/10=2/5 så stor i längmedning och har därmed en area som är (2/5)^2 så stor.
Skillnaden mellan areorna är således
(1-(2/5)^2)*50/9= (21/25)*(50/9) = 42/9 = 14/3 = 4 + 2/3
Sedan ger uppgiften eg. inte tillräcklig info för att man ska veta att linjerna verkligen skär kvadraten alls men man får ta bilden som fog för det.
SeriousCephalopod skrev:...
Gällande arean är det inget fel på likformighet och relationerna mellan längd och areaskalor. Det grå området kan ses som skillnaden mellan en stor och en liten likformig triangel.
Den stora har en area (10/9)*10/2 = 50/9
Snyggt! Men jag har lite svårt att hänga med i resonemanget kring trianglarna. Jag antar att trianglarna du avser är de två smala kilarna som utgår från (10,0) och som avslutas av vertikala sidor vid x = 0 resp x = 6, dvs dessa:


Men eftersom du anger den stora triangelns bas till 10 och dess höjd till 10/9 så antar jag att du räknar med att den understa linjen har lutning 0?
Då är jag med, men är verkligen arean oberoende av var linjerna skär y-axeln?
...
Sedan ger uppgiften eg. inte tillräcklig info för att man ska veta att linjerna verkligen skär kvadraten alls men man får ta bilden som fog för det.
Jo det står i texten "Two lines intersect parallel sides of the square, as shown".
Vi kan se 10/9 som en bas och 10 som en höjd. Vad som är bas och vad som är en höjd i en beräkning är ett val snarare än bundet till hur triangeln är roterad i en bild.
SeriousCephalopod skrev:Vi kan se 10/9 som en bas och 10 som en höjd. Vad som är bas och vad som är en höjd i en beräkning är ett val snarare än bundet till hur triangeln är roterad i en bild.
Just det, jag tänkte lite avigt där. Då är jag med. Snyggt!
Löste hela uppgiften nu (se nedan). Fick samma svar som SeriousCephalopod. Svaret är oberoende av lutningen på den nedre linjen.

