Bestäm avbildningsmatrisen f med avseende på standardbasen och basen av im(f)

Hej!
Jag körde fast på b). Hur går jag vidare?
Jag tror det är tänkt att avbildningen är linjär. Därmed kan du till exempelstudera hur standarbasen för avbildas genom att utnyttja en linjär egenskap hos avbildningen.
D4NIEL skrev:Jag tror det är tänkt att avbildningen är linjär. Därmed kan du till exempelstudera hur standarbasen för avbildas genom att utnyttja en linjär egenskap hos avbildningen.
Studera hur då? Söker de typ f[ 00 0 1]=? f[1 0 0 0] =? Och f([ 0 010]) som vi fått från a) uppgiften?
Först måste du väl ta fram basen B. Har du gjort det?
PATENTERAMERA skrev:Först måste du väl ta fram basen B. Har du gjort det?
I a) ja om vi pratar imf(B)?
För att få första kolonnen i din matris så skall du hitta koordinterna i basen B för vektorn . Och så vidare för de andra vektrorerna i standardbasen.
PATENTERAMERA skrev:För att få första kolonnen i din matris så skall du hitta koordinterna i basen B för vektorn . Och så vidare för de andra vektrorerna i standardbasen.
Var kommer [1 0 0] ifrån? är det standardbasen? Så jag vill gå från basen i standardbasen till basen B?
Ja, standardbasen för R3 är (1 0 0)T, (0 1 0)T, (0 0 1)T.
PATENTERAMERA skrev:Ja, standardbasen för R3 är (1 0 0)T, (0 1 0)T, (0 0 1)T.
Okej så vi ska hitta koordinaterna ( ab c ) i basen B dvs T( e1, e,2,e3) *X= B(basen B)?
Om vi kallar vektorerna i standardbasen och vektorerna i basen B .
Det gäller då för matrisen, kalla den M, att
.
Vi kan skalärmultiplicera båda led med och utnyttja att B är en ON-bas.
.
PATENTERAMERA skrev:Om vi kallar vektorerna i standardbasen och vektorerna i basen B .
Det gäller då för matrisen, kalla den M, att
.
Vi kan skalärmultiplicera båda led med och utnyttja att B är en ON-bas.
.
Jag hänger tyvärr inte med. Bara att M är en basbytematris tror jag och att B är ON basen? Frågan är vad f( 1 0 0) är osv ?
M är avbildningsmatrisen till f. Map standardbasen och basen B.
Ja, en av de saker som du måste räkna ut är hur f avbildar vektorerna i standardbasen. Utnyttja att du vet hur f avbildar tre givna vektorer i R3. Hur kan tex (1 0 0)T uttryckas med hjälp de givna vektorerna?
PATENTERAMERA skrev:M är avbildningsmatrisen till f. Map standardbasen och basen B.
Ja, en av de saker som du måste räkna ut är hur f avbildar vektorerna i standardbasen. Utnyttja att du vet hur f avbildar tre givna vektorer i R3. Hur kan tex (1 0 0)T uttryckas med hjälp de givna vektorerna?
f(1 0 0)=1 0 0?
Du vet hur funktionen f avbildar vektorerna , , . Vi antar att funktionen är linjär, annars makar uppgiften ingen sense.
Uttryck (1 0 0)T som en linjärkombination av vektorerna ovan och utnyttja linjäriteten hos f för att räkna ut f((1 0 0)T). Sedan får du göra på liknande sätt med de andra vektorerna i standardbasen.
Tillägg: 21 nov 2024 19:50

PATENTERAMERA skrev:Du vet hur funktionen f avbildar vektorerna , , . Vi antar att funktionen är linjär, annars makar uppgiften ingen sense.
Uttryck (1 0 0)T som en linjärkombination av vektorerna ovan och utnyttja linjäriteten hos f för att räkna ut f((1 0 0)T). Sedan får du göra på liknande sätt med de andra vektorerna i standardbasen.
Tillägg: 21 nov 2024 19:50
Jag har lite svårt att hänga med på vad jag ska räkna ut. (a , b ,c) är alltså outputen för f( 1 0 0 ) ? vad menas med linjäriteten hos f?
Nej, det är koordinaterna för vektorn (1 0 0)T om man uttrycker den i de givna vektorerna.
Tillägg: 21 nov 2024 20:03

PATENTERAMERA skrev:Nej, det är koordinaterna för vektorn (1 0 0)T om man uttrycker den i de givna vektorerna.
varför ska man räkna ut koordinater uttryckt i de givna vektorerna? är det för att man vill komma till f( 1 0 0 ) = [...]?
Ja, precis.
PATENTERAMERA skrev:Ja, precis.
jag gjorde gauseliminering för att få ut ( a,b, c)
Ja, det går bra.

PATENTERAMERA skrev:Ja, det går bra.


Som du ser så fick datorn att (a b c)T = (2 -1 -1)T. Stämmer det? (Du skall alltid dubbelkolla dina resultat.)
2(1 1 -1)T - (2 0 1)T - (-1 2 -3)T = (2-1+1 2-0-2 -2-1+3)T = (1 0 0)T. Datorn har rätt.
Tänk sedan på att

PATENTERAMERA skrev:Som du ser så fick datorn att (a b c)T = (2 -1 -1)T. Stämmer det? (Du skall alltid dubbelkolla dina resultat.)
2(1 1 -1)T - (2 0 1)T - (-1 2 -3)T = (2-1+1 2-0-2 -2-1+3)T = (1 0 0)T. Datorn har rätt.
Tänk sedan på att
Jag vet inte vad för fel du upptäckte att jag har nu. Men jag har gausat och hittade bara ett litet fel. Om du kan säga var i min gaus som är fel kan du gärna säga det
Fick du ut rätt svar?
PATENTERAMERA skrev:Fick du ut rätt svar?
Jag vet inte vad rätt svar är. Jag fick [ 3/2,0,1] på ( a, b,c)
Jag skrev vad som var rätt i #22.
PATENTERAMERA skrev:Jag skrev vad som var rätt i #22.
Yes men jag hittar inte felet
PATENTERAMERA skrev:
Jag såg (1 00) som en b-vektor och inte en del av matrisen. Det var ju ingenting du nämnde för mig.
Förstår inte vad menar. Vi skall ju lösa
Det gör man tex på det sätt som datorn visar. Standardlösning.
PATENTERAMERA skrev:Förstår inte vad menar. Vi skall ju lösa
Det gör man tex på det sätt som datorn visar. Standardlösning.
Det gjorde jag också. Det är en gauseliminering som jag gjorde. Scrolla upp mina inlägg hur jag gjorde. (1 0 0) är en högerledsvektor
Då har du gjort något räknefel någonstans. Räkna om och jämför med de steg som datorn visar.
Men läs gärna om hela tråden igen, för vid det här laget har du kanske helt glömt bort vad vi är ute efter.
PATENTERAMERA skrev:Då har du gjort något räknefel någonstans. Räkna om och jämför med de steg som datorn visar.
Men läs gärna om hela tråden igen, för vid det här laget har du kanske helt glömt bort vad vi är ute efter.
Okej jag räknar om. Vad gör vi sen?
Du räknar ut vad blir och sedan på liknande sätt vad blir.
PATENTERAMERA skrev:Du räknar ut vad blir och sedan på liknande sätt vad blir.
Alla med gaus? Den första är gjord med gaus nu.
Vad fick du f((1 0 0)T) till?
PATENTERAMERA skrev:Vad fick du f((1 0 0)T) till?
(2,-1,-1)=(a,b,c). Men blir det inte samma (a,b,c) för (0,1,0) också ?

Nej, det skall bli olika. Du har svar i #20.
Sedan måste du titta på #22 igen för du gör inte rätt när du räknar ut f(1 0 0).
PATENTERAMERA skrev:Nej, det skall bli olika. Du har svar i #20.
Sedan måste du titta på #22 igen för du gör inte rätt när du räknar ut f(1 0 0).
Jag förstår inte. Hur ska man räkna f(1 0 0 )? Menar du såhär?

PATENTERAMERA skrev:
Okej men det är på samma sätt som jag gjort med f([001])
OK men vad fick du på f(1 0 0)?
PATENTERAMERA skrev:OK men vad fick du på f(1 0 0)?
Jag fick f([1 0 0])=(0, -3,6,-1) och f( [0 1 0])=(-1,10,-14,0). Visst ska jag ta inversen av basen och multiplicera sen med VL ?

ON-basen verkar inte rätt. Tex så finns (1 2 -1 1)T i im(f), men du kan inte uttrycka denna vektor mha din ON-bas.
Kolonn i hos M utgörs av koordinaterna för f(ei) relativt basen B. Dvs
Coli(M) = [f(ei)]B.
PATENTERAMERA skrev:ON-basen verkar inte rätt. Tex så finns (1 2 -1 1)T i im(f), men du kan inte uttrycka denna vektor mha din ON-bas.
Kolonn i hos M utgörs av koordinaterna för f(ei) relativt basen B. Dvs
Coli(M) = [f(ei)]B.
Vilken bas menar de då? Hur ska man skriva detta då?
B skall vara en ON-bas för im(f) som du skulle tagit fram i a). Men det som du anger är inte en bas för im(f) eftesom inte alla vektorer i im(f) kan skrivas som en linjärkombination av dina basvektorer.
Något har gått fel på a).
PATENTERAMERA skrev:B skall vara en ON-bas för im(f) som du skulle tagit fram i a). Men det som du anger är inte en bas för im(f) eftesom inte alla vektorer i im(f) kan skrivas som en linjärkombination av dina basvektorer.
Något har gått fel på a).
Ok såhär blev a)

Hej
Det som du anger som bas är alltså inte en bas för bildrummet till f, precis som patenteramera skriver.
Jag så nu att uppgift a) fanns i ett annat inlägg. Om du använder den metoden med Gaussning, så har du alltså fått fram att kolumnerna i din ursprungliga matris är linjärt oberoende. Det är dessa tre vektorer du kan använda som bas, inte den färdiggausade matrisens kolumner.
Extrafundering!
Jag såg att du använt Gram-Schmidt för vektorerna (1000),(0010),(0001). Du borde väl ändå se direkt att de är ortogonala, eller..?
jamolettin skrev:Hej
Det som du anger som bas är alltså inte en bas för bildrummet till f, precis som patenteramera skriver.
Jag så nu att uppgift a) fanns i ett annat inlägg. Om du använder den metoden med Gaussning, så har du alltså fått fram att kolumnerna i din ursprungliga matris är linjärt oberoende. Det är dessa tre vektorer du kan använda som bas, inte den färdiggausade matrisens kolumner.
Extrafundering!
Jag såg att du använt Gram-Schmidt för vektorerna (1000),(0010),(0001). Du borde väl ändå se direkt att de är ortogonala, eller..?
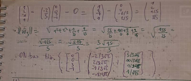
Jo de är ortogonala men det är ju för att svara på frågan om ortonormala bas till im(f). Så det är alltså detta som är im(f)

Sen får jag följande bas


PATENTERAMERA skrev:ON-basen verkar inte rätt. Tex så finns (1 2 -1 1)T i im(f), men du kan inte uttrycka denna vektor mha din ON-bas.
Kolonn i hos M utgörs av koordinaterna för f(ei) relativt basen B. Dvs
Coli(M) = [f(ei)]B.
Ska jag ta inversen av matrisen framför M och sen multiplicera med VL?

Principen ser bra ut. Jag har ingen aning om du Gram-Schmidt :at korrekt men din första basvektor ser inte ut att ha normen 1. Du vill ju ha en ON-bas.
Du måste se till att det är en ON-bas. Så vektorerna i B skall vara normerade och ortogonala. Dubbelkolla innan du räknar vidare.
Jag tror att formeln skall vara med M på andra sidan, dvs
f(e1 e2 e3) = (b1 b2 b3)M.
Multiplicera båda led med (b1 b2 b3)T.
(b1 b2 b3)Tf(e1 e2 e3) = (b1 b2 b3)T(b1 b2 b3)M = IM = M.
jamolettin skrev:Principen ser bra ut. Jag har ingen aning om du Gram-Schmidt :at korrekt men din första basvektor ser inte ut att ha normen 1. Du vill ju ha en ON-bas.
Oj jag missade att dela w1 med sqrt(10) när jag normerade w1.
PATENTERAMERA skrev:Du måste se till att det är en ON-bas. Så vektorerna i B skall vara normerade och ortogonala. Dubbelkolla innan du räknar vidare.
Jag tror att formeln skall vara med M på andra sidan, dvs
f(e1 e2 e3) = (b1 b2 b3)M.
Multiplicera båda led med (b1 b2 b3)T.
(b1 b2 b3)Tf(e1 e2 e3) = (b1 b2 b3)T(b1 b2 b3)M = IM = M.
Yes alla är ortogonala och normerade.
Ja då återstår bara att transponera och multiplicera med matrisen i VL.
PATENTERAMERA skrev:Ja då återstår bara att transponera och multiplicera med matrisen i VL.
Såhär?

PATENTERAMERA skrev:Ja.
Är mitt svar rimligt?

Jag körde allt genom datorn, och i din näst sista matris, där får min dator att tredje kolumnen ska vara (-1 , 7, -11, 0). Du har (+1, 7, -11, 0). Kan du ha missat något tecken?
jamolettin skrev:Jag körde allt genom datorn, och i din näst sista matris, där får min dator att tredje kolumnen ska vara (-1 , 7, -11, 0). Du har (+1, 7, -11, 0). Kan du ha missat något tecken?
nu borde det stämma


