3
svar
124
visningar
Volens27 behöver inte mer hjälp
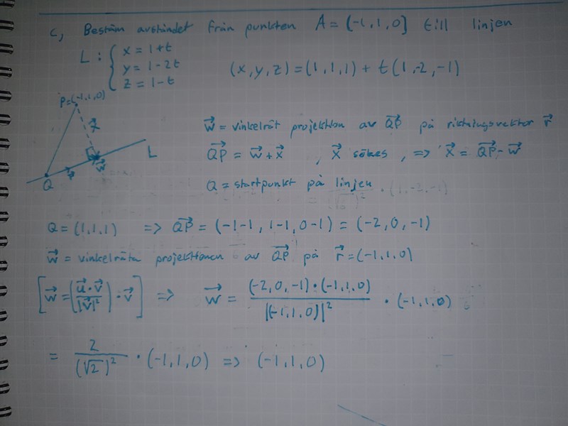
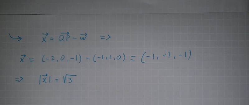
Bestäm avståndet från punkt till linje

Har försökt med hjälp av vinkelrät projektion
Får det felaktiga svaret till , om det går att tyda mina uträkningar , vart går det fel ?


Hur fick du = (-1, 1, 0)?
PATENTERAMERA skrev:Hur fick du = (-1, 1, 0)?
Ja , det blev tokigt, är nog rätt? Som är riktningsvektorn.
Tack , det var problemet.