Hej!
För att kunna rita in linjen i figuren behöver du två punkter på linjen.
Linjens ekvation säger att när så är .
Linjens ekvation säger att när så är .
Dessa beräkningar ger dig de två punkterna och som ligger på den räta linjen.
Eftersom triangeln ska ligga i den första kvadranten så måste vara ett positivt tal, vilket talar om för dig att måste vara ett positivt tal.
Jag överlåter resten av lösningen till dig.
Albiki
Hej Päivi,
Din lösning hittills ser mycket lovande ut!
Om jag tolkar dig rätt har du kommit fram till att linjen måste ha y=6/b som "m-värde".
Det får vara höjden h för vår triangel, dvs .
Nu behöver vi veta basen också. Basen är x-koordinaten då linjen skär x-axeln. När linjen skär x-axeln är y=0.
Om du löser ekvationen får du basen av triangeln. Tänk på att du redan har ett "b" så kalla gärna basen något annat, t.ex. d.
Arean av triangeln blir då
Edit: Det blir ännu enklare om kallar basen d=4 och inte blandar in d. Pedagogisk miss från mig!
Arean av triangeln blir då
OK, du har beräknat var linjen skär y-axeln respektive x-axeln.
Behöver du mer hjälp?
Bra Päivi!
Nu har du kommit fram till att x=4. Det är basen på triangeln.
Du vet också att höjden av triangeln är och att arean av triangeln ska vara 6 area enheter. Det ger dig en ekvation som låter dig bestämma b.
Tack så mycket för all hjälp.
Uppgiften är ju löst.
Päivi skrev :
Ja det stämmer.
Såg du allt framför dig utan att rita linjen?
Jag gick mera efter formeln. Tänkte på geometri. Jag vet ju hur man räknar fram triangelns area. Därför brydde jag inte om rita någonting Yngve.
Vad säger du Yngve om detta?
Päivi skrev :Jag gick mera efter formeln. Tänkte på geometri. Jag vet ju hur man räknar fram triangelns area. Därför brydde jag inte om rita någonting Yngve.
Vad säger du Yngve om detta?
Jag undrade bara vad det var du fastnade på från första början.
Det var
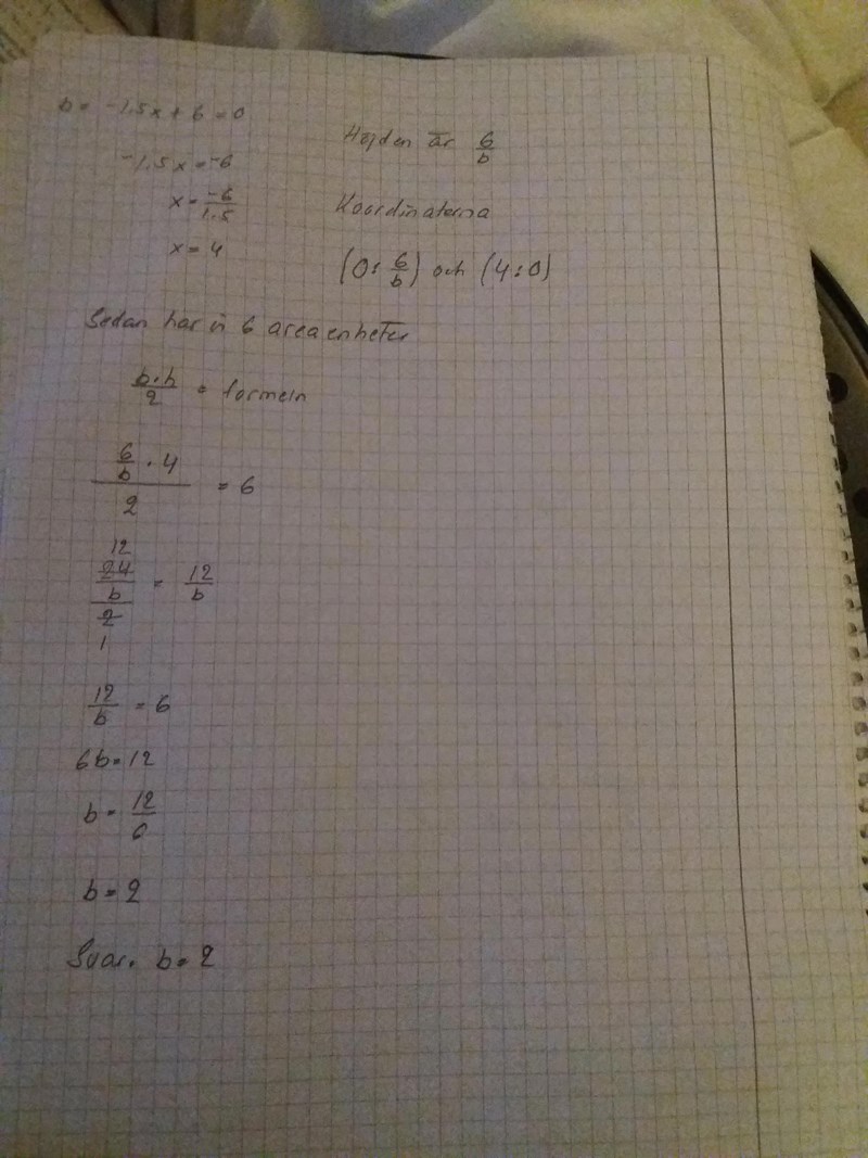
by. Om man skulle sätta y = 0,
jag var inne på -1,5x+ 6/b, men skrev aldrig b i nämnaren.
-1,5x= -6
x.=-6/-1,5
x =4
vi vet ju att höjden är 6/b
6/b* 4/2=
det var något åt ditåt.
Päivi skrev :Det var
by. Om man skulle sätta y = 0,
jag var inne på -1,5x+ 6/b, men skrev aldrig b i nämnaren.
-1,5x= -6
x.=-6/-1,5
x =4
vi vet ju att höjden är 6/b
6/b* 4/2=
det var något åt ditåt.
Jag förstår inte. Var problemet alltså att du blandade ihop uppgiftens konstant b med triangelns bredd b i formeln A = bh/2?
Jag var mera fråge tecken om jag skulle sätta att y = 0, vad händer med bokstaven B. Där var jag mera frågetecken.
Päivi skrev :Jag var mera fråge tecken om jag skulle sätta att y = 0, vad händer med bokstaven B. Där var jag mera frågetecken.
OK men du var inne på metoden att hitta linjens skärningspunkter med koordinataxlarna genom att först sätta x = 0 för att få ut y-värdet och sedan sätta y = 0 för att få ut x-värdet?
Ja, det var jag, Yngve! Det här har inte jag haft varken i matte A eller i B och inte ens i C kursen. Jag kan inte förstå att vissa saker kan fattas i matematiken. Detta kanske ansågs vara mera oviktigt. .
Jag somnade nu senast här. Jag kan mitt i allt somna särskild på kvällarna.
Jag tittade om det här i youtube, eftersom jag inte kände till, hur man gör det här för ett tag sedan utan att behöva fråga om sådant. Det händer också, men inte ofta.
Päivi skrev :Ja, det var jag, Yngve! Det här har inte jag haft varken i matte A eller i B och inte ens i C kursen. Jag kan inte förstå att vissa saker kan fattas i matematiken. Detta kanske ansågs vara mera oviktigt. .
Jag somnade nu senast här. Jag kan mitt i allt somna särskild på kvällarna.
Jag tittade om det här i youtube, eftersom jag inte kände till, hur man gör det här för ett tag sedan utan att behöva fråga om sådant. Det händer också, men inte ofta.
Hur menar du "fattas"? Detta problem innehåller inget som är nytt.
Det är koordinatsystem, räta linjens ekvation, geometri och vanlig ekvationslösning.
Jag har ett minne om jag har läst eller inte. Matte har alltid varit intressant ämne. Den glömmer man inte lätt. Små detaljer kan jag glömma. Stora hela kommer jag ihåg. Jag kommer ihåg mycket utan att veta om det själv.
Jag har tittat från olika matte böcker. Ena B boken fanns ytterst lite om det här. Ingen bok som jag läste och hade prov på. Den andra boken köpte jag sidan om. Där fanns väldigt lite. Så lite att man knappast begrep vad saken ens handlar om. Geometri kan jag. Det här med skärnings punkter vad lite soeciellt med. Det kan dyka upp sådana här saker. Det finns annat i den här boken som är nytt för mig. Det måste jag bara gå genom. Att jag ställer frågor som Ni tror att jag bör kunna. Det beror på av de här anledningarna som jag nu berättar. Det är just därför jag tittar. Skulle det var bekant, skulle jag strunta.
Jag har nu koll på saker och ting. Sedan kan det finnas i en annan bok om sådant som inte finns överhuvudtaget i andra böcker. Jag har i c matte om radianer och amplituder som hör till matte 4. Går man i matte c, det är självklart att man tror att det här måste jag kunna. Det var det som gjorde att jag började titta på matte 4. Min lärare tittade på mig ett tag och tänkte. Det här är lite för svårt för mig, men blev väldigt överraskad att jag skulle gå in till matte 4 helt plötsligt. Jag ville se, när kommer sådant här.
Min lärare har sett tendenser förut också att jag kan vara helt annat ställe och tittar. Jag snokar reda på allt, när det gäller matte.
Här är jag, Yngve!
<tänkte flytta en kommentar hit men den var redan besvarad i en annan tråd så den får vara kvar där>
Det sista hade jag lite svårt att förstå. Om Du Yngve kan återkomma ca 30-45 minuter. Jag har tänkt äta lite grann här. Sedan kan vi ta upp på nytt det här.





